API
Antineoplastic agents
Analytical Chemistry
Amino Acids and Proteins
Amino Acids and Derivatives
Anesthetics
Antimicrobial agent
Antioxidants
Aromatic aldehydes
Antipyretic analgesics
Amides
Blood system medication
Biochemical Engineering
Carbohydrates
Chemical Reagents
Chemical pesticides
Catalyst and Auxiliary
Circulatory System Drugs
Carboxylic acids and derivatives
Chinese Herbs
Chemical Materials
Drugs
Diagnostic Agents
Dyes and Pigments
Esters
Fatty aldehyde
Food Additives
Flavors and fragrances
Hormones and the Endocrine System
Heterocyclic compounds
Hydrocarbons and derivatives
Inhibitors
Inorganic chemistry
Inorganic salts
Inorganic acid Esters
Metal halide and Halogen salt
Nitrogen-Compounds
Natural Products
Nervous system drugs
Nucleoside Drugs
Organic Acids
Organic reagents
Organic Chemistry
Organometallic compounds
Oxides and peroxides
Organic Raw Material
Organic Synthesis Intermediate
Organosilicon compounds
Organic Solvents
Organic Building Blocks
Pharmaceutical intermediates
Plant extracts
Pyridine Compound
Pharmaceutical Reference Standards
Pesticide Intermediates
Reducing agent
Rare Earth Metals Oxides
Saccharides
Surfactant
Supplements
Standards
Vitamins and Minerals medicines
Home
ChemicalBook
>
Articles Catagory List
>
Blood-system-medication
Blood system medication
More
Less
Blood system medication
DL-Aspartic Acid: Metabolic Roles, Dietary Impact, and Pathophysiological Implications
Jun 6,2025
Blood system medication
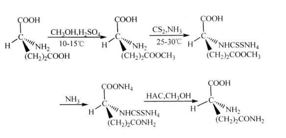
L-Glutamine:General description,Application,and Production
Apr 26,2023
Blood system medication
General Introduction of Avatrombopag
Dec 1,2021
Blood system medication
Methenolone acetate - Pharmacokinetics, Synthesis, Safety etc.
Nov 10,2021
Blood system medication
Health Effects of Uric Acid Levels and Drug Therapy
Oct 10,2019
Blood system medication
What is high-molecular weight dextran?
Aug 5,2019
Blood system medication
MSDS
|
CAS
|
CAS DataBase
|
Pricacy
|
Terms
|
About Us
|
New Products
|
Contact us
|
Computer Version
Chemical Book