2140-76-3
中文名称
2'-甲氧基尿苷
英文名称
2'-O-Methyluridine
CAS
2140-76-3
分子式
C10H14N2O6
MDL 编号
MFCD00056054
分子量
258.23
MOL 文件
2140-76-3.mol
更新日期
2026/04/03 15:04:23
结构式
基本信息
中文别名
2'-甲氧基尿苷
2'-O-甲基尿苷
2'-O-甲基尿苷
英文别名
2'-O-METHYLURIDINE
2'-O-METHYLURIDINE (CHIRAL)
2''-O-METHYLURIDINE CRYSTALLINE
2'-O-METHYLURIDINE (CHIRAL)
2''-O-METHYLURIDINE CRYSTALLINE
所属类别
生物化工:核苷中间体
物理化学性质
| 熔点 | 154-156°C |
| 密度 | 1.53±0.1 g/cm3(Predicted) |
| 储存条件 | Store at 0°C |
| 溶解度 | 可溶于DMSO(少许)、甲醇(少许) |
| 酸度系数(pKa) | 9.39±0.10(Predicted) |
| 形态 | 粉末 |
| 颜色 | 白色至灰白色 |
| PH值 | ~9.3 |
| 最大波长(λmax) | 261nm(MeOH)(lit.) |
| InChI | InChI=1S/C10H14N2O6/c1-17-8-7(15)5(4-13)18-9(8)12-3-2-6(14)11-10(12)16/h2-3,5,7-9,13,15H,4H2,1H3,(H,11,14,16)/t5-,7-,8-,9-/m1/s1 |
| InChIKey | SXUXMRMBWZCMEN-ZOQUXTDFSA-N |
| SMILES | OC[C@H]1O[C@@H](N2C=CC(=O)NC2=O)[C@H](OC)[C@@H]1O |
| CAS 数据库 | 2140-76-3(CAS DataBase Reference) |
安全数据
| 危险性符号(GHS) | ![]() GHS06 |
| 警示词 | 危险 |
| 危险性描述 | H301-H311-H331 |
| 防范说明 | P261-P264-P270-P271-P280-P302+P352-P304+P340-P310-P330-P361-P403+P233-P405-P501 |
| 危险品标志 | T+ |
| 危险类别码 | 26/27/28 |
| 安全说明 | 24/25 |
| WGK Germany | WGK 3 |
| 海关编码 | 29389090 |
| 存储类别 | 11 - Combustible Solids |
常见问题列表
理化性质
2'-甲氧基尿苷在常温常压下呈白色或者灰白色固体粉末状,该化合物稳定较差,需要低温保存,而且最好是在惰性气体保护的环境下保存。其在具体的合成转化中,伯醇可以在转变成碘原子,而仲醇不受影响;此外,还可以在和羰基相邻的双键碳上面引入一个碘原子。
用途
2'-甲氧基尿苷是核苷酸的重要中间体,其在合成用于标记RNA的非干扰胞苷衍生物中有重要应用。
来源
2'-甲氧基尿苷在生物体内广泛存在,特别是在RNA的核心结构中。它在RNA分子的转运、稳定性和翻译调控中发挥着重要作用。此外,它也可以作为生物医学领域的研究工具,用于研究RNA的结构和功能。
合成路线
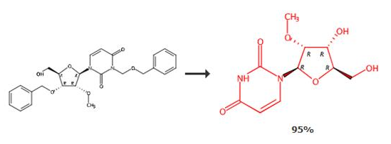
在氮气氛围下,将负载量为 10% 的 钯碳固体添加到 BOM 保护的尿苷衍生物 (1 当量) 在异丙醇和水的混合溶液中(异丙醇和水的比例为10:1),再往反应体系中加入HCO2H (0.5%) ,使用双折叠气球将氢气气体引入反应混合物中,反应完成后,通过硅藻土过滤反应混合物除去钯碳固体,用异丙醇洗涤反应混合物。在真空下旋转蒸发所有挥发物,生成HCO2H-胺盐后,将粗混合物溶解在三氯甲烷中,用碳酸氢钠水溶液洗涤粗混合物;用无水硫酸钠干燥合并的有机层,真空蒸发合并的有机萃取物;通过硅胶色谱法纯化残余物即可得到目标产物2'-甲氧基尿苷。

2'-甲氧基尿苷价格(试剂级)
| 报价日期 | 产品编号 | 产品名称 | CAS号 | 包装 | 价格 |
| 2025/12/22 | HY-W011824 | 2'-甲氧基尿苷 2′-O-Methyluridine | 2140-76-3 | 5 g | 101元 |
| 2025/12/22 | HY-W011824 | 2'-甲氧基尿苷 2′-O-Methyluridine | 2140-76-3 | 10 mM * 1 mLin DMSO | 111元 |
| 2025/12/22 | HY-W011824 | 2'-甲氧基尿苷 2′-O-Methyluridine | 2140-76-3 | 10 g | 199元 |
供应商信息 更多
江苏申基生物科技有限公司
联系电话:
15852554546
产品介绍:
中文名称:2'-甲氧基尿苷
英文名称:2'-O-Me-rU
CAS:2140-76-3
纯度:98%
包装信息:10g;100g;1kg
备注:NS005-10;NS005-100;NS005-1K;
芜湖华仁科技有限公司
黄金产品
联系电话:
0553-5842013-801 18155347026
产品介绍:
中文名称:2'-甲氧基尿苷
英文名称:2'-OMe Uridine
CAS:2140-76-3
纯度:98%
包装信息:500g
芜湖诺威化学技术有限公司
黄金产品
联系电话:
0553-0553-8233716-803-803 18055326116
产品介绍:
中文名称:2'-甲氧基尿苷
英文名称:2'-OMe Uridine
CAS:2140-76-3
纯度:98%
包装信息:10g,50g,100g,500g,1kg
郑州氟斯特生物科技有限公司
黄金产品
联系电话:
0371-68865717 13213090566
产品介绍:
山东鸿图生物科技有限公司
黄金产品
联系电话:
15966937598
产品介绍:
中文名称:2-甲氧基尿苷
英文名称:AN
CAS:2140-76-3
纯度:98% HPLC
包装信息:10G;1KG
核芯生物医药科技(杭州)有限公司
现货
黄金产品
联系电话:
13326014885
产品介绍:
库存量:
>10kg
现货日期:
2026/3/25 14:03:01
奥百鑫(上海)生物科技有限公司
大货
现货
黄金产品
联系电话:
+86-18666985712; 18666985712
产品介绍:
中文名称:2'-甲氧基尿苷
英文名称:2'-OMe-rU
CAS:2140-76-3
纯度:99%
包装信息:1kg
备注:公斤级别备货
库存量:
>10kg
现货日期:
2026/3/31 16:49:10
无锡景耀生物科技有限公司
现货
联系电话:
88770633 13961738808
产品介绍:
中文名称:2’-甲氧基尿苷
英文名称:2′-O-Methyluridine
CAS:2140-76-3
纯度:98%
包装信息:1kg
库存量:
25kg
现货日期:
2026/3/30 17:26:30
上海祥耕科技发展有限公司
现货
联系电话:
021-021-56152668 18116302010
产品介绍:
中文名称:2'-甲氧基尿苷
英文名称:2'-O-methyluridine
CAS:2140-76-3
纯度:98% HPLC
包装信息:100g;1kg;10kg;25kg
备注:核苷酸系列
库存量:
>1kg
现货日期:
2026/3/23 9:40:53
河南威梯希化工科技有限公司
现货
联系电话:
0371-55135753 18003832934
产品介绍:
中文名称:2'-甲氧基尿苷
英文名称:2'-O-Methyluridine
CAS:2140-76-3
纯度:97%
包装信息:g-kg
备注:优势产品,详询18003832934(微信同号)
库存量:
10g
现货日期:
2026/4/3 15:04:23
南通众合化工新材料有限公司
现货
联系电话:
0513-85666561 15950816326
产品介绍:
中文名称:2'-甲氧基尿苷
英文名称:2'-O-Methyluridine
CAS:2140-76-3
纯度:99.50%
包装信息:100mg;1g;10g;100g;1kg
库存量:
10000kg
现货日期:
2026/4/1 11:17:35
北京百灵威科技有限公司
联系电话:
18210857532; 18210857532
产品介绍:
中文名称:2'-O-甲基尿苷
英文名称:2'-O-Methyluridine, 99%
CAS:2140-76-3
纯度:99%
包装信息:1G;5G
备注:化学试剂、精细化学品、医药中间体、材料中间体
上海迈瑞尔生化科技有限公司
联系电话:
4006356688 18621169109
产品介绍:
中文名称:2'-O-甲基尿苷
英文名称:2'-O-Methyluridine
CAS:2140-76-3
纯度:>98.0%(LC)(T)
包装信息:1g;5g
备注:M2290
上海兆维科技发展有限公司
联系电话:
021-64757213
产品介绍:
中文名称:2'-甲氧基尿苷
英文名称:2'-OMe-Ur; 2'-O-methyluridine
CAS:2140-76-3
纯度:HPLC >=99%
包装信息:G; KG
备注:医药中间体
梯希爱(上海)化成工业发展有限公司
联系电话:
021-67121386
产品介绍:
中文名称:2'-O-甲基尿苷
英文名称:2'-O-Methyluridine
CAS:2140-76-3
纯度:98.0% LC&T
包装信息:1G,5G
备注:试剂级
北京华威锐科化工有限公司
联系电话:
0757-86329057 18934348241
产品介绍:
中文名称:2'-甲氧基尿苷
英文名称:2'-O-Methyluridine
CAS:2140-76-3
纯度:98.00%
包装信息:25g
备注:HWG55253
安耐吉化学&3A(安徽泽升科技有限公司)
联系电话:
021-021-58432009 400-005-6266
产品介绍:
英文名称:2'-O-Methyluridine
CAS:2140-76-3
纯度:98%
包装信息:5G,1G
备注:国产化学试剂、精细化学品、医药中间体、材料中间体
上海泰坦科技股份有限公司
联系电话:
400-6009262 16621234537
产品介绍:
中文名称:2’-甲氧基尿苷
英文名称:2’-O-Methyluridine
CAS:2140-76-3
纯度:Bio-Ultra Grade+>=98%
包装信息:250mg;1g;5g
备注:37109
