26750-81-2
中文名称
阿利苯多
英文名称
Alibendol
CAS
26750-81-2
EINECS 编号
247-960-9
分子式
C13H17NO4
MDL 编号
MFCD00865165
分子量
251.28
MOL 文件
26750-81-2.mol
更新日期
2026/03/31 13:52:59
结构式
基本信息
中文别名
2-羟基-N-(2-羟乙基)-3-甲氧基-5-(2-丙烯基)苯甲酰胺
阿利苯多
2-羟基-N-(2-羟乙基)-3-甲氧基-5-(2-丙烯基)苯酰胺
阿里奔醇
烯丙柳胺醇
阿利苯醇
阿利苯多
2-羟基-N-(2-羟乙基)-3-甲氧基-5-(2-丙烯基)苯酰胺
阿里奔醇
烯丙柳胺醇
阿利苯醇
英文别名
2-hydroxy-n-(2-hydroxyethyl)-3-methoxy-5-(2-propenyl)benzamide
ALIBENDOL
2-hydroxy-n-(2-hydroxyethyl)-3-methoxy-5-(2-propenyl)-benzamid
5-allyl-2-hydroxy-n-(2-hydroxyethyl)-3-methoxy-benzamid
5-allyl-2-hydroxy-n-(2-hydroxyethyl)-m-anisamid
Ailbendol
fc54
hydroxy-2methoxy-3allyl-5n-(beta-hydroxyethyl)benzamide
Alibendol ,2-hydroxy-3-methoxy-5-allyl-N-(C-hydroxyethyl)-benzamide
5-Allyl-2-hydroxy-N-(2-hydroxyethyl)-3-methoxybenzamide
5-Allyl-N-(2-hydroxyethyl)-3-methoxysalicylamide
Cebera
H-3774
PC-54
ALIBENDOL
2-hydroxy-n-(2-hydroxyethyl)-3-methoxy-5-(2-propenyl)-benzamid
5-allyl-2-hydroxy-n-(2-hydroxyethyl)-3-methoxy-benzamid
5-allyl-2-hydroxy-n-(2-hydroxyethyl)-m-anisamid
Ailbendol
fc54
hydroxy-2methoxy-3allyl-5n-(beta-hydroxyethyl)benzamide
Alibendol ,2-hydroxy-3-methoxy-5-allyl-N-(C-hydroxyethyl)-benzamide
5-Allyl-2-hydroxy-N-(2-hydroxyethyl)-3-methoxybenzamide
5-Allyl-N-(2-hydroxyethyl)-3-methoxysalicylamide
Cebera
H-3774
PC-54
所属类别
原料药:利胆药
物理化学性质
| 外观性状 | 结晶体。熔点95℃ |
| 熔点 | 97-99°C |
| 沸点 | 402.4±45.0 °C(Predicted) |
| 密度 | 1.192±0.06 g/cm3(Predicted) |
| 储存条件 | Sealed in dry,Room Temperature |
| 溶解度 | 可溶于二甲基亚砜、甲醇 |
| 酸度系数(pKa) | 8.59±0.48(Predicted) |
| 形态 | 固体 |
| 颜色 | 白色 |
| 最大波长(λmax) | 316nm(EtOH)(lit.) |
| Merck | 14,244 |
| CAS 数据库 | 26750-81-2(CAS DataBase Reference) |
应用领域
用途一
利胆剂,抗痉挛药。该药由法国Bouchara1981年上市。
安全数据
| RTECS号 | CU8730000 |
| 海关编码 | 2924.29.7790 |
| 毒性 | LD50 in Swiss male mice (mg/kg): >3000 orally; >2000 s.c.; 209 i.p.; 217 i.v. (Clémence) |
制备方法
方法一
由2-羟基-3-甲氧基-5-烯丙基苯甲酸乙酯和乙醇胺反应得到。中间体2-羟基-3-甲氧基-5-烯丙基苯甲酸乙酯的制备方法可参阅J.Am .Chem.Soc.,71,1061(1949)
常见问题列表
镇痉利胆药
阿利苯多(Alibendol),化学名为2-羟基-N-(2-羟乙基)-3-甲氧基-5-(2-丙烯基)苯甲酰胺,是一种优良的镇痉利胆药物。药理研究证明,其毒性低,与其他利胆药相比,阿利苯多的疗效更好,能促进胆汁的生成和分泌,该药不仅对消化不良有效,还对肝硬化、胆结石、胆囊切除后症后群、胆道运动障碍、肝炎等胆道器质性原因造成的消化不良也具有70%以上的改善效果。临床适用于胆囊及胆道功能失调,慢性胆囊炎,胆石症,胃弱、风疹、搔痒症、偏头痛、便秘等疾病。
合成路线
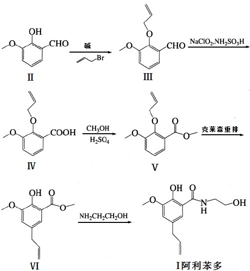
以邻香兰素( Ⅱ) 为原料,首先经过烯丙基化反应得到3-甲氧基-2-(2-丙烯氧基)苯甲醛(Ⅲ),然后用价廉易得的无机氧化剂亚氯酸钠和氨基磺酸在丙酮-水的混合溶剂中将醛氧化成相应的酸(Ⅳ),再经甲酯化反应得到3-甲氧基-2-( 2-丙烯氧基) 苯甲酸甲酯(Ⅴ),最后经重排和氨解反应得到目标产物-阿利苯多(Ⅰ)
图1为阿利苯多的合成路线
用途
用于胆囊及胆道功能失调,慢性胆囊炎,胆石症,胃弱、风疹、搔痒症、偏头痛、便秘等疾病。有关阿利苯多的合成路线、用途等是由Chemicalbook的侍艳编辑整理。(2015-12-28)
阿利苯多价格(试剂级)
| 报价日期 | 产品编号 | 产品名称 | CAS号 | 包装 | 价格 |
| 2026/03/03 | S1928 | 阿利苯多 Alibendol | 26750-81-2 | 50mg | 782.93元 |
| 2025/12/22 | HY-B0326 | 阿利苯多 Alibendol | 26750-81-2 | 1 g | 100元 |
| 2025/12/22 | HY-B0326 | 阿利苯多 Alibendol | 26750-81-2 | 10mM * 1mLin DMSO | 110元 |
供应商信息 更多
湖北辰心化工有限公司
现货
联系电话:
17362916295 17362916295
产品介绍:
CAS:26750-81-2
纯度:99% HPLC
包装信息:1kg;25kg
备注:大量优势现货,电话微信同号17362916295,可根据客户要求分装
库存量:
100kg
现货日期:
2026/3/31 13:52:59
湖南瑞威尔生物科技有限公司
现货
联系电话:
18502762003
产品介绍:
中文名称:阿利苯多
英文名称:2-hydroxy-N-(2-hydroxyethyl)-3-methoxy-5-prop-2-enylbenzamide
CAS:26750-81-2
纯度:99%
包装信息:1kg;5kg;25kg
备注:化工级
库存量:
10kg
现货日期:
2026/3/24 17:10:21
北京百灵威科技有限公司
联系电话:
18210857532; 18210857532
产品介绍:
英文名称:Alibendol
CAS:26750-81-2
包装信息:100Mg,1g
备注:化学试剂、精细化学品、医药中间体、材料中间体
北京华威锐科化工有限公司
联系电话:
0757-86329057 18934348241
产品介绍:
中文名称:阿利苯多
英文名称:Alibendol
CAS:26750-81-2
纯度:95.00%
包装信息:5g
安耐吉化学&3A(安徽泽升科技有限公司)
联系电话:
021-021-58432009 400-005-6266
产品介绍:
中文名称:阿利苯多
英文名称:Alibendol
CAS:26750-81-2
纯度:99%
包装信息:100g;25g;5g;1g;100mg;250mg;500mg;50mg
备注:NULL
大连美仑生物技术有限公司
联系电话:
0411-62910999 13889544652
产品介绍:
中文名称:阿利苯多
英文名称:Alibendol
CAS:26750-81-2
纯度:>98%,BR
包装信息:1G
备注:500
TargetMol中国(陶术生物)
联系电话:
021-021-33632979 15002134094
产品介绍:
中文名称:阿利苯多
英文名称:Alibendol
CAS:26750-81-2
纯度:99.98%
包装信息:200mg/RMB 99
上海将来实业股份有限公司
联系电话:
400-0066400 13621662912
产品介绍:
中文名称:阿利苯多
英文名称:Alibendol
CAS:26750-81-2
纯度:99%
包装信息:25g;100g
湖南华腾制药有限公司
联系电话:
400-8592883
产品介绍:
中文名称:阿利苯多
英文名称:Alibendol
CAS:26750-81-2
纯度:95+
包装信息:1g;25g;100g;500g;1kg;25kg
备注:咨询热线400-859-2883
南京百鑫德诺生物科技有限公司
联系电话:
025-58849295 18951903616
产品介绍:
英文名称:Alibendol
CAS:26750-81-2
纯度:0.98
包装信息:1mg;5mg;10mg;25mg;50mg;100mg
备注:试剂
湖北巨胜科技有限公司
联系电话:
027-59599241 18871490274
产品介绍:
中文名称:阿利苯多
英文名称:Alibendol
CAS:26750-81-2
纯度:99% HPLC
包装信息:25KG;200KG;5KG;1KG;1T
广州和为医药科技有限公司
联系电话:
18620099427
产品介绍:
英文名称:Alibendol
CAS:26750-81-2
纯度:99%
包装信息:25MG;100MG;250MG;500MG;1G
上海源叶生物科技有限公司
联系电话:
021-61312847; 18021002903
产品介绍:
英文名称:Alibendol
CAS:26750-81-2
纯度:>=98%
包装信息:1g
备注:S80581
南京罗迈美生物科技有限公司
联系电话:
产品介绍:
中文名称:阿利苯多
英文名称:Alibendol
CAS:26750-81-2
纯度:98.50%
包装信息:820RMB/500G
备注:试剂级
成都华纯科技有限公司
联系电话:
400-1166-196 15982826727
产品介绍:
中文名称:阿利苯多
英文名称:Alibendol
CAS:26750-81-2
纯度:99% HPLC
包装信息:10g;50g;100g;500g;1kg;5kg;25kg
江苏艾康生物医药研发有限公司
联系电话:
025-58859352 19370895928
产品介绍:
英文名称:Alibendol
CAS:26750-81-2
纯度:95% HPLC or GC
包装信息:10G,5G;1G
武汉峰耀同辉化学制品有限公司
联系电话:
027-87466105 15377573527
产品介绍:
中文名称:2-羟基-N-(2-羟乙基)-3-甲氧基-5-(2-丙烯基)苯甲酰胺; 阿立苯多
英文名称:Alibendol
CAS:26750-81-2
纯度:98%
包装信息:1kg
备注:原料药、医药中间体、精细化学品
上海吉至生化科技有限公司
联系电话:
021-4009004166/18616739031 18616739031
产品介绍:
英文名称:Alibendol
CAS:26750-81-2
纯度:99%
包装信息:50mg;250mg;1g
备注:A56040