33400-49-6
中文名称
2-氨基-3-硝基-6-(4-氟苄基氨基)吡啶
英文名称
2-AMINO-3-NITRO-6-(4‘-FLUORBENZYLAMINO)-PYRIDINE SPECIALITY CHEMICALS
CAS
33400-49-6
分子式
C12H11FN4O2
分子量
262.24
MOL 文件
33400-49-6.mol
更新日期
2026/03/25 17:32:05
结构式
基本信息
中文别名
氟吡汀杂质B
氟吡汀中间体
2-氨基-3-硝基-6-(4-氟苄基氨基
2-氨基-6-(4-氟苄胺)-3-硝基吡啶
2-胺基-6-(4-氟苄胺)-3-硝基吡啶
2-氨基-3-硝基-6-(4-氟苯甲胺基)吡啶
2-氨基-6-(4-氟苄基氨基)-3-硝基吡啶
2-氨基-3-硝基-6-(4-氟苄基氨基)吡啶
2-氨基-3-硝基-6-(4-氟苄基氨基)吡啶 ,氟吡汀中间体
2-氨基-3-硝基-6-(4-氟苄基氨基)吡啶,马来酸氟吡汀中间体
氟吡汀中间体
2-氨基-3-硝基-6-(4-氟苄基氨基
2-氨基-6-(4-氟苄胺)-3-硝基吡啶
2-胺基-6-(4-氟苄胺)-3-硝基吡啶
2-氨基-3-硝基-6-(4-氟苯甲胺基)吡啶
2-氨基-6-(4-氟苄基氨基)-3-硝基吡啶
2-氨基-3-硝基-6-(4-氟苄基氨基)吡啶
2-氨基-3-硝基-6-(4-氟苄基氨基)吡啶 ,氟吡汀中间体
2-氨基-3-硝基-6-(4-氟苄基氨基)吡啶,马来酸氟吡汀中间体
英文别名
2-Amino-6-(4-fL
N2-(4-Fluorobenzyl)
Flupirtine impurity B
amino)-3-nitropyridine
-5-nitropyridine-2,6-diamine
FlupirtinemaleateintermediateⅡ
2-Amino-3-nitro-6-(4-fluorobenzylamino)pyridine
N2-(4-fluorobenzyl)-5-nitropyridine-2,6-diaMine
2-AMINO-3-NITRO-6-(4‘-FLUORBENZYLAMINO)-PYRIDINE
2-Amino-6-[(4-fluorobenzyl)-amino]-3-nitropyridine
N2-(4-Fluorobenzyl)
Flupirtine impurity B
amino)-3-nitropyridine
-5-nitropyridine-2,6-diamine
FlupirtinemaleateintermediateⅡ
2-Amino-3-nitro-6-(4-fluorobenzylamino)pyridine
N2-(4-fluorobenzyl)-5-nitropyridine-2,6-diaMine
2-AMINO-3-NITRO-6-(4‘-FLUORBENZYLAMINO)-PYRIDINE
2-Amino-6-[(4-fluorobenzyl)-amino]-3-nitropyridine
所属类别
医药中间体:苄基吡啶
物理化学性质
| 熔点 | 178-180°C |
| 沸点 | 464.5±45.0 °C(Predicted) |
| 密度 | 1.447±0.06 g/cm3(Predicted) |
| 储存条件 | Keep in dark place,Sealed in dry,Room Temperature |
| 溶解度 | 可溶于DMSO(少许)、甲醇(少许) |
| 酸度系数(pKa) | 1.52±0.50(Predicted) |
| 形态 | 固体 |
| 颜色 | 黄色 |
| InChI | 1S/C12H11FN4O2/c13-9-3-1-8(2-4-9)7-15-11-6-5-10(17(18)19)12(14)16-11/h1-6H,7H2,(H3,14,15,16) |
| InChIKey | ZVCIIRBNNSUNCH-UHFFFAOYSA-N |
| SMILES | NC1=NC(NCC2=CC=C(F)C=C2)=CC=C1[N+]([O-])=O |
安全数据
| 危险性符号(GHS) | ![]() GHS07 |
| 警示词 | 警告 |
| 危险性描述 | H315-H319 |
| 防范说明 | P264-P280-P302+P352-P337+P313-P305+P351+P338-P362+P364-P332+P313 |
| WGK Germany | 3 |
| 存储类别 | 11 - Combustible Solids |
常见问题列表
用途
2-氨基-6-(4-氟苄胺)-3-硝基吡啶为杂环衍生物,可用作医药中间体。
合成方法
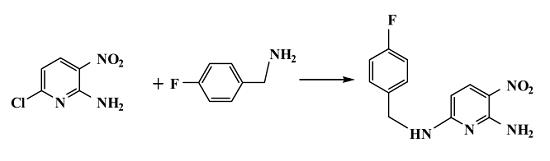
针对氟吡汀中间体2-氨基-3-硝基-6-(4-氟苄基氨基)吡啶(ANFP)的合成工艺进行优化研究,选择2,6-二氯-3-硝基吡啶为起始原料,在2,6位进行选择性氨化和对氟苄胺胺化得中间体2-氨基-3-硝基-6-(4-氟苄基氨基)吡啶,获取适宜的合成工艺路线,以提高中间体2-氨基-3-硝基-6-(4-氟苄基氨基)吡啶的合成产率,最大程度节约成本。2-氨基-3-硝基-6-(4-氟苄基氨基)吡啶的合成反应式如下图:

2-氨基-3-硝基-6-(4-氟苄基氨基)吡啶价格(试剂级)
| 报价日期 | 产品编号 | 产品名称 | CAS号 | 包装 | 价格 |
| 2024/01/16 | H54517 | 2-氨基-6-(4-氟苄基氨基)-3-硝基吡啶, 97% 2-Amino-6-(4-fluorobenzylamino)-3-nitropyridine, 97% | 33400-49-6 | 250mg | 679元 |
| 2024/01/16 | H54517 | 2-氨基-6-(4-氟苄基氨基)-3-硝基吡啶, 97% 2-Amino-6-(4-fluorobenzylamino)-3-nitropyridine, 97% | 33400-49-6 | 1g | 2035元 |
| 2024/01/16 | H54517 | 2-氨基-6-(4-氟苄基氨基)-3-硝基吡啶, 97% 2-Amino-6-(4-fluorobenzylamino)-3-nitropyridine, 97% | 33400-49-6 | 5g | 8139元 |
供应商信息 更多
山东铭枫医药科技有限公司
现货
联系电话:
053155551677 15315114555
产品介绍:
中文名称:2-氨基-3-硝基-6-(4-氟苄基氨基)吡啶
英文名称:2-amino-3-nitro-6-(4'-fluorbenzylamino)pyridine
CAS:33400-49-6
纯度:99
包装信息:1kg
库存量:
50g
现货日期:
2026/3/24 11:54:45
山东雨禾医药科技有限公司
现货
联系电话:
15263077727
产品介绍:
中文名称:2-氨基-3-硝基-6-(4-氟苄基氨基)吡啶
英文名称:2-amino-3-nitro-6-(4'-fluorbenzylamino)pyridine
CAS:33400-49-6
纯度:99%
包装信息:5KG;1KG
备注:仅供科研或出口,根据需求分包
库存量:
50g
现货日期:
2026/3/24 11:54:35
武汉欣扬瑞和化学科技有限公司
现货
联系电话:
13720181483 13720181483
产品介绍:
中文名称:2-氨基-3-硝基-6-(4-氟苄基氨基)吡啶
英文名称:N6-[(4-fluorophenyl)methyl]-3-nitropyridine-2,6-diamine
CAS:33400-49-6
纯度:98%
包装信息:25公斤、200公斤、吨位、客户指定包装
备注:3g
库存量:
2kg
现货日期:
2026/3/25 17:32:05
北京百灵威科技有限公司
联系电话:
18210857532; 18210857532
产品介绍:
英文名称:2-AMino-6-[(4-fluorobenzyl)-aMino]-3-nitropyridine
CAS:33400-49-6
包装信息:2.5g,250Mg
备注:化学试剂、精细化学品、医药中间体、材料中间体
常州市阳光药业有限公司
联系电话:
519-83131668 15995063688
产品介绍:
中文名称:2-氨基-3-硝基-6-(4-氟苄氨基)吡啶
英文名称:2-Amino-3-nitro-6-(4-fluorobenzylamino)pyridine
CAS:33400-49-6
上海凯盟化学科技有限公司
联系电话:
18916626092
产品介绍:
英文名称:2-Amino-3-nitro-6-(4-fluorobenzylamino)pyridine
CAS:33400-49-6
纯度:99%
包装信息:Upon customer's requests
阿法埃莎(中国)化学有限公司
联系电话:
400-6106006
产品介绍:
中文名称:2-氨基-6-(4-氟苄基氨基)-3-硝基吡啶, 97%
英文名称:2-AMino-6-(4-fluorobenzylaMino)-3-nitropyridine, 97%
CAS:33400-49-6
包装信息:250Mg
备注:H54517
北京华威锐科化工有限公司
联系电话:
0757-86329057 18934348241
产品介绍:
中文名称:2-氨基-3-硝基-6-(4-氟苄基氨基)吡啶,马来酸氟吡汀中间体
英文名称:2-AMINO-3-NITRO-6-(4‘-FLUORBENZYLAMINO)-PYRIDINE SPECIALITY CHEMICALS
CAS:33400-49-6
纯度:98.00%
包装信息:1kg
备注:HWG15711
上海博氏医药科技有限公司
联系电话:
021-34975603-808 18721111801
产品介绍:
中文名称:2-氨基-3-硝基-6-(4-氟苄基氨基)吡啶 ,氟吡汀中间体
英文名称:2-AMINO-3-NITRO-6-(4‘-FLUORBENZYLAMINO)-PYRIDINE SPECIALITY CHEMICALS
CAS:33400-49-6
纯度:98%
包装信息:5Kg 50Kg 100Kg
备注:大量供应
南京康满林化工实业有限公司
联系电话:
025-83697070 13770331960
产品介绍:
中文名称:2-氨基-3-硝基-6-(4-氟苄基氨基)吡啶
英文名称:2-Amino-3-nitro-6-(4-fluorobenzylamino)-pyridine
CAS:33400-49-6
纯度:0.98
包装信息:5KG; 1KG
备注:黄色固体
无锡英特派药业开发有限公司
联系电话:
510-83782303 13771177691
产品介绍:
英文名称:2-AMINO-3-NITRO-6-(4‘-FLUORBENZYLAMINO)-PYRIDINE SPECIALITY CHEMICALS
CAS:33400-49-6
包装信息:5kg;1KG
上海阿拉丁生化科技股份有限公司
联系电话:
400-6206333 13167063860
产品介绍:
中文名称:2-氨基-3-硝基-6-(4-氟苄基氨基)吡啶
英文名称:2-Amino-3-nitro-6-(4-fluorobenzylamino)pyridine
CAS:33400-49-6
纯度:≥97%
包装信息:1g/RMB 58.90;5g/RMB 271.90
上海昂斯化学科技有限公司
联系电话:
13917628136 15900795984
产品介绍:
中文名称:2-氨基-3-硝基-6-(4-氟苄基氨基)吡啶
英文名称:2-AMINO-3-NITRO-6-(4‘-FLUORBENZYLAMINO)-PYRIDINE
CAS:33400-49-6
纯度:99%
包装信息:100g,1kg,10kg
上海石洋化工有限公司
联系电话:
021-021-56795766
产品介绍:
英文名称:2-AMino-3-nitro-6-(4-fluorobenzylaMino)pyridine
CAS:33400-49-6
纯度:99%Min HPLC
包装信息:1KG;5KG;25KG
济南祥开盛云化学有限公司
联系电话:
531-67875205 15726170169
产品介绍:
中文名称:2-氨基-3-硝基-6-(4-氟苯甲胺基)吡啶
英文名称:2-AMINO-3-NITRO-6-(4'-FLUORBENZYLAMINO)-PYRIDINE
CAS:33400-49-6
纯度:99%
包装信息:1kg
备注:按要求
上海御略医药科技有限公司
联系电话:
021-60345187 13671753212
产品介绍:
中文名称:马来酸氟吡汀中间体Ⅱ
CAS:33400-49-6
纯度:98%
包装信息:100g;500g;1kg;5kg
上海柯维化学技术有限公司
联系电话:
021-64609169 18901607656
产品介绍:
中文名称:2-氨基-3-硝基-6-(4-氟苄基氨基)吡啶
英文名称:Flupirtine Impurity B
CAS:33400-49-6
纯度:95+ HPLC;
包装信息:10mg;25mg;50mg;100mg
备注:品牌:Kewel;附COA HNMR MS HPLC;对照品;药物杂质
浙江荣大化工有限公司
联系电话:
571-88086013
产品介绍:
英文名称:2-Amino-3-Nitro-6-(4-Fluorobenzylamino) Pyridine
CAS:33400-49-6
纯度:99% HPLC
包装信息:1KG;5KG;10KG;15;20KG;25KG
