99387-89-0
中文名称
氟菌唑
英文名称
Triflumizole
CAS
99387-89-0
分子式
C15H15ClF3N3O
分子量
345.75
更新日期
2026/04/01 08:39:31
结构式
中文别名
氟菌唑
氟菌唑溶液
乙腈中氟菌唑
乙腈中氟菌唑标准品
氟菌唑溶液,100PPM
氟菌唑溶液,1000PPM
特富灵 10 NG/UL,溶于异辛烷 标准品
(E)-1-(1-((4-氯-2-(三氟甲基)苯基)亚氨)-2-丙氧乙基)-1H-咪唑
氟菌唑 中文名称:氟菌唑中文同义词:(E)-1-(1-((4-氯-2-(三氟甲基)苯基)亚氨)-2-丙氧乙基)-1H-咪唑
英文别名
Triumizole
Triflumizole
Triflumizole [iso]
fungicide Triflumizole
Triumizole Solution, 1000ppm
N-[4-chloro-2-(trifluoromethyl)phenyl]-1-imidazol-1-yl-2-propoxyethanimine
(E)-1-(1-((4-Chloro-2-(trifluoromethyl)phenyl)imino)-2-propoxyethyl)-1H-imidazole
4-Chloro-N-[(E)-1-(1H-imidazol-1-yl)-2-propoxyethylidene]-2-(trifluoromethyl)aniline
(E)-N-[4-Chloro-2-(trifluoromethyl)phenyl]-1-(1H-imidazol-1-yl)-2-(propyloxy)ethanimine
(E)-4-CHLORO-ALPHA,ALPHA,ALPHA-TRIFLUORO-N-(1-IMIDAZOL-1-YL-2-PROPOXYETHYLIDENE)-O-TOLUIDINE
所属类别
分析化学:农残、兽药及化肥类
| 危险品运输编号 |
3077 |
| 危险等级 |
9 |
| 包装类别 |
III |
用途
氟菌唑杂为环类杀菌剂,其原药为白色结晶。氟菌唑是甾醇脱甲基化抑制剂,具有保护、治疗和铲除作用的内吸杀菌剂,属广谱性内吸杀菌剂。适宜作物为麦类、各种蔬菜、果树及其他作物。对作物安全剂量为:日本推荐最高残
留限量(MRL)蔬菜为lmg/kg,果树为2mg/kg,番茄为2mg/kg,小麦为1mg/kg,茶为
15mg/kg。防治对象包括白粉病、锈病,茶树炭疽病、茶饼病、桃褐腐病等。
机理
氟菌唑的杀菌机理为抑制病菌菌体细胞麦角甾醇的生物合成,阻止病斑扩大和新孢子形成,对病害具预防和治疗作用。防治仁果上的胶锈菌属和黑星菌属菌,果实和蔬菜上的白粉菌科、镰抱
需属、褐狗属和链核盘菌属菌:蔬菜上的使用量为180~300g/hm2,果园中的使用量为 700~
1000g/hm2。还可用作种子处理剂,可有效地防治禾谷类上的水稻胡麻斑病菌、腥黑粉菌属和黑
粉菌属菌。如按种子量的0.5%拌麦类种子可防治黑穗病、白粉病和条纹病。
简介
氟菌唑(triflumizole),试验代号 NF114,商品名称 Trifmine、Procure、Pancho TF,其他名称 特富灵Condor、Rocket、Terraguard。是由日本曹达公司开发的咪唑类杀菌剂。
理化性质
氟菌唑纯品为无色结晶,熔点63.5℃。蒸气压0.191mPa(25℃)。分配系数 KowlgP
5.06(pH6.5),5.10(pH6.9),5.12(pH 7.9)。Henry 常数(25℃)6.29X10-3Pa·m3/mol(pH
7.9)。溶解度(20℃,g/L):水0.0102(pH 7),氯仿2220,已烷17.6,二甲苯639,丙酮1440.
甲醇496。稳定性:在强碱性和酸性介质中不稳定,水溶液遇日光降解,半衰期为 29h。微碱性,
pK,3.7(25℃)
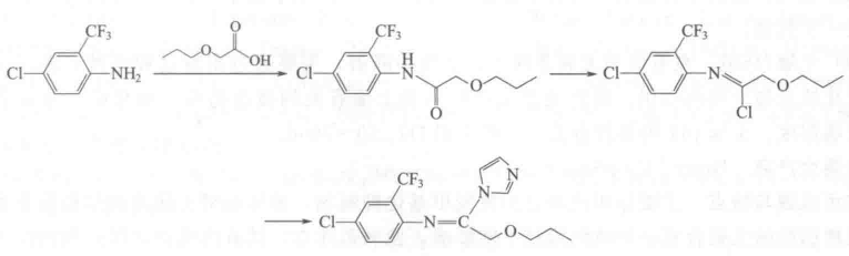
合成方法
2-三氟甲基-4-氯苯胺与a-正丙氧基乙酸等摩尔混合物在五氯化磷存在下反应
生成的酷胺化合物在三乙胺存在下,通入光气,进行亚氨基氯化,最后与咪唑反应即可制得氟菌唑。反应式如下:

毒性
大鼠急性经口LD50(mg/kg):雄715、雌695。大鼠急性经皮 LD50>5000mg/kg,大
鼠急性吸入LC50(4h)>3.2mg/L 空气。对眼睛有轻微刺激性,对皮肤无刺激作用。大鼠 NOEL
(2y)3.7mg/kg饲料。ADI值0.00085mg/kg。
供应商信息
更多
四川库利南科技有限公司
联系电话:
400-1166-196 18981987031
产品介绍:
中文名称:氟菌唑
英文名称:Triflumizole
CAS:99387-89-0
纯度:99% HPLC
包装信息:10g;50g;100g;500g;1kg;5kg;25kg
备注:分析标准品 化学试剂、医药中间体,生化试剂,标准品
艾科试剂
联系电话:
4008-755-333 18080918076
产品介绍:
中文名称:氟菌唑
英文名称:TrifluMizole
CAS:99387-89-0
纯度:HPLC;GR;AR;CP
包装信息:5g;25g;100g;500g
备注:试剂级
上海阿拉丁生化科技股份有限公司
联系电话:
400-6206333 13167063860
产品介绍:
中文名称:氟菌唑
英文名称:Triflumizole
CAS:99387-89-0
纯度:分析标准品, ≥99%
包装信息:25mg/RMB 129.90;100mg/RMB 360.90;500mg/RMB 1299.90
南京生利德生物科技有限公司
联系电话:
025-57798810
产品介绍:
中文名称:氟菌唑
英文名称:triflumizole
CAS:99387-89-0
纯度:95%
包装信息:1g;5g;25g;100g
上海拓目化工有限公司
联系电话:
13391076197
产品介绍:
英文名称:Triflumizole
CAS:99387-89-0
备注:1g/卷/
湖北巨胜科技有限公司
联系电话:
027-59599241 18871490274
产品介绍:
中文名称:氟菌唑
英文名称:Triflumizole
CAS:99387-89-0
纯度:99% HPLC
包装信息:25KG;200KG;5KG;1KG;1T
广州和为医药科技有限公司
联系电话:
18620099427
产品介绍:
中文名称:氟菌唑
英文名称:Triflumizole
CAS:99387-89-0
包装信息:10MG;25MG;100MG;250MG;500MG
备注:分析标准品,99%
上海源叶生物科技有限公司
联系电话:
021-61312847; 18021002903
产品介绍:
中文名称:氟菌唑
英文名称:triflumizole
CAS:99387-89-0
纯度:分析标准品, >=99%
包装信息:100mg
备注:V32918
南京罗迈美生物科技有限公司
联系电话:
产品介绍:
中文名称:氟菌唑
英文名称:triflumizole
CAS:99387-89-0
纯度:95%
包装信息:550RMB/5G
备注:试剂级
上海臻励生物科技有限公司
联系电话:
021-16621358918; 18516310516
产品介绍:
中文名称:氟菌唑
英文名称:Triflumizole
CAS:99387-89-0
上海吉至生化科技有限公司
联系电话:
021-4009004166/18616739031 18616739031
产品介绍:
中文名称:氟菌唑
英文名称:Triflumizole
CAS:99387-89-0
包装信息:100mg
备注:T70430 99%(分析标准试剂)
深圳聚合生化科技有限公司
联系电话:
+86-400-002-6226 +86-13028896684
产品介绍:
中文名称:氟菌唑
英文名称:Triumizole
CAS:99387-89-0
纯度:>95%
包装信息:1mg
钟祥市耀威生物科技有限公司
联系电话:
15337241005 13260682861
产品介绍:
中文名称:氟菌唑
英文名称:Triflumizole
CAS:99387-89-0
纯度:0.95
包装信息:1kg;25kg
备注:现货供应
武汉荣灿生物科技有限公司
联系电话:
18327024450
产品介绍:
中文名称:氟菌唑
英文名称:Triflumizole
CAS:99387-89-0
纯度:99%
包装信息:25kg
备注:大货专供
泰安嘉岳生物化工有限公司
联系电话:
15318151873
产品介绍:
中文名称:氟菌唑
CAS:99387-89-0
纯度:99%
包装信息:25kg;5KG;1KG
湖北斯维图新材料科技有限公司
联系电话:
13277095679
产品介绍:
中文名称:氟菌唑
英文名称:Triflumizole
CAS:99387-89-0
纯度:95%
包装信息:25kg/;1kg/
武汉华玖医药科技有限公司
联系电话:
027-59225746 18062681621
产品介绍:
中文名称:氟菌唑
英文名称:triflumizole
CAS:99387-89-0
纯度:99%
备注:25KG/纸板桶/
武汉研哲科技有限公司
联系电话:
15527250409
产品介绍:
中文名称:氟菌唑
英文名称:triflumizole
CAS:99387-89-0
纯度:98% HPLC
包装信息:1Mg ; 5Mg;10Mg ;100Mg;250Mg ;500Mg ;1g;2.5g ;5g ;76g;
备注:医药级