防冻液乙二醇
- CAS号:107-21-1
- 英文名:Ethylene glycol
- 中文名:防冻液乙二醇
- CBNumber:CB00138654
- 分子式:C2H6O2
- 分子量:62.07
- MOL File:107-21-1.mol
- 熔点 :-13 °C (lit.)
- 沸点 :195-198 °C
- 密度 :1.113 g/mL at 25 °C (lit.)
- 蒸气密度 :2.1 (vs air)
- 蒸气压 :0.08 mm Hg ( 20 °C)
- 折射率 :n
20/D 1.431(lit.) - 闪点 :230 °F
- 储存条件 :2-8°C
- 溶解度 :water: miscible
- 酸度系数(pKa) :14.22(at 25℃)
- 形态 :Viscous Liquid
- 颜色 :blue
- 气味 (Odor) :Odorless
- PH值 :6-7.5 (100g/l, H2O, 20℃)
- 相对极性 :0.79
- 爆炸极限值(explosive limit) :3.2%(V)
- 水溶解性 :miscible
- 热导率 :0.256 W/(m·K) at 25 ℃
- 凝固点 :-11.5℃
- 最大波长(λmax) :λ: 260 nm Amax: ≤0.03
λ: 280 nm Amax: ≤0.01 - 敏感性 :Hygroscopic
- Merck :14,3798
- BRN :505945
- 暴露限值 :Ceiling limit in air for vapor and mist 50 ppm (~125 mg/m3) (ACGIH); TWA 10 mg/m3 (particulates) (MSHA).
- 介电常数 :37.0(20℃)
- 化妆品成分功效 :HUMECTANT
SOLVENT
VISCOSITY CONTROLLING - 化妆品成分评估 :Ethylene glycol (107-21-1)
- InChI :1S/C2H6O2/c3-1-2-4/h3-4H,1-2H2
- InChIKey :LYCAIKOWRPUZTN-UHFFFAOYSA-N
- SMILES :OCCO
- LogP :-1.36 at 25℃
- 表面张力 :47.7mN/m at 20°C
- CAS 数据库 :107-21-1(CAS DataBase Reference)
- NIST化学物质信息 :1,2-Ethanediol(107-21-1)
- EPA化学物质信息 :Ethylene glycol (107-21-1)
- 危险品标志 :Xn
- 危险类别码 :22-36-41
- 安全说明 :26-39-36/37/39
- 危险品运输编号 :UN3082
- WGK Germany :3
- RTECS号 :KW2975000
- 自燃温度 :752 °F
- TSCA :TSCA listed
- 危险等级 :9
- 海关编码 :29053100
- 存储类别 :10 - Combustible liquids
- 危险性类别 :Acute Tox. 4 Oral
STOT RE 2 Oral - 毒害物质数据 :107-21-1(Hazardous Substances Data)
- 毒性 :LD50 in rats, guinea pigs (g/kg): 8.54, 6.61 orally (Smyth); in mice (ml/kg): 13.79 orally (Bornmann)
防冻液乙二醇 MSDS
Ethylene glycol
防冻液乙二醇
防冻液乙二醇性质、用途与生产工艺
-
二元醇
乙二醇又称甘醇,是最简单的脂肪族二元醇,具有醇类的化学性质,如能生成醚、酯,能被氧化生成醛或酸,能缩合生成醚。也可被卤素取代。与酰氯或酸酐反应,一般均形成双酯。在催化剂(二氧化锰、氧化铝、氧化锌或硫酸)作用下加热,可在分子内或分子间脱水,生成环状乙二醇缩乙醛,它与硝酸反应生成乙二醇二硝酸酯(一种炸药)。 乙二醇是生产聚酯树脂、醇酸树脂、聚酯纤维的原料,也用作汽车抗冻剂和飞机发动机致冷剂,1980年美国用于抗冻剂的乙二醇与用于生产聚酯的消费量相等。另外,还可合成涤纶纤维等高分子化合物。乙二醇二硝酸酯与硝化甘油联合使用可使炸药的冻点降低。乙二醇还可作为药品和塑料的原料及高沸点溶剂。工业上以乙烯为原料,使其先转化成环氧乙烷再水解制得乙二醇。

本品有着火及爆炸的危害。对皮肤及粘膜有刺激性,吸入蒸气或经皮吸收,对中枢神经产生麻醉作用,也引起肾障碍。大鼠经口LD508540 mg/kg。工作场所最高允许浓度5×10-6。 -
物理性质
乙二醇(Ethylene Glycol,简称 EG),又名 1,2-亚乙基二醇,是最简单的二元醇,结 构式为 HOCH2CH2OH。乙二醇外观为无色、无臭、有甜味的稠状液体,能与 水、丙酮互溶,在醚类中溶解度较少。

- 性状 无色透明粘稠液体
-
用途
乙二醇主要用作聚酯纤维的原料,并用于其他聚酯树脂、不饱和聚酯树脂和1730聚酯 漆。由乙二醇和聚乙二醇能衍生出多种类型的表面活性剂。其二硝基化合物二硝基乙 二醇是炸药。乙二醇可降低水溶液冰点,故常用作防冻剂。
-
应用
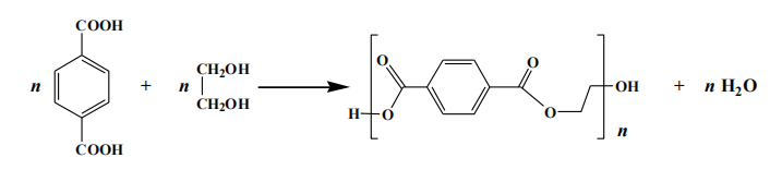
乙二醇可以直接应用于聚酯行业,通过与对苯二甲酸(PTA)发生缩聚反应得到聚对苯二甲酸乙二醇酯(PET),应用于纤维、薄膜、塑料等行业,反应过程见下图 。

除此以外,乙二醇还可以直接用来解决废旧聚酯织物的脱色问题,在 180℃的 条件下,织物与乙二醇的质量比为 1:20,处理 40 min,织物的脱色率可高达 93.64%,对 使用过的乙二醇重新利用,脱色率仍可以高于 90%。
乙二醇与环氧乙烷,在碱性催化剂的作用下可以发生聚合反应合成聚乙二醇(PEG), 反应式见下图。
PEG 无毒无害,具有良好的水溶性、吸湿性、润滑性等优点。在化妆 品行业,PEG 可作为多种化妆品的保湿剂、粘度调节剂等;在医药行业,PEG 可作为注 射剂的药物的溶剂,在临床上用聚乙二醇干扰素与药物联合可治疗多种疾病。除此之外,还可以作为食品添加剂、金属加工的铸模剂等领域。 -
中毒急救
乙二醇属低毒类。大鼠LD50为5.5ml/kg~8.54ml/kg。人一次口服LD50为80g~100g。血中乙二醇浓度达2.4g/L,可引起急性肾功能衰竭。可由消化道、皮肤及呼吸道吸收,以原形或经氧化为乙二酸盐(草酸盐)的形态从肾脏排出。乙二醇氧化成二氧化碳则从呼吸道排出。尽管乙二醇的毒性较大,但其挥发性很小,故在生产中经吸入而引起严重中毒的可能性不大。吸入中毒时的表现为神志模糊、眼球震颤,尿中有蛋白、草酸钙结晶和红细胞等。口服中毒在临床上可分为三个阶段: 第一阶段主要为中枢神经系统症状,如乙醇中毒的表现; 第二阶段主要症状为气急、紫绀以及肺水肿或支气管肺炎的各种表现; 第三阶段肾脏病变明显,有腰痛、肾区叩痛、肾功能损害、蛋白尿、血尿、尿中有草酸钙结晶、少尿以至无尿,出现急性肾功能衰竭。
误服者按一般口服中毒的急救原则处理,可给予1/6mol乳酸钠溶液600ml和10%葡萄糖酸钙10ml静脉滴注。对严重中毒患者可用人工肾透析。
盛装乙二醇容器应有“毒剂”标记,本品加热时应密闭、排气,防止吸入本品蒸气或气溶胶。避免皮肤长期直接接触本品。 -
参考文献
[1]赵毅聪.乙醇醛加氢制备乙二醇的研究[D].中国石油大学(华东),2022.DOI:10.27644/d.cnki.gsydu.2022.001435.
- 化学性质 无色透明粘稠液体,味甜,具有吸湿性。 与水、低级脂肪族醇、甘油、醋酸、丙酮及类似酮类、醛类、吡啶及类似的煤焦油碱类混溶,微溶于乙醚 ,几乎不溶于苯及其同系物、氯代烃、石油醚和油类。
- 用途 主要用于生产聚酯树脂、醇酸树脂、增塑剂、防冻剂,也用于化妆品和炸药
- 用途 用作分析试剂、色谱分析试剂及电容介质
- 用途 乙二醇是杀菌剂戊环唑和恶霉灵的中间体。
- 用途 乙二醇主要用于配制汽车冷却系统的抗冻剂及生产聚对苯二甲酸乙二酯(聚酯纤维和聚酯塑料的原料),也可用于生产其分合成树脂、溶剂、润滑剂、表面活性剂、软化剂、增湿剂、炸药等。乙二醇常可代替甘油使用,在制革和制药工业中分别用作水合剂和溶剂。乙二醇的溶解能力很强,但它容易代谢氧化生成有毒的草酸,因而不能广泛用作溶剂。将乙二醇添加到液压流体中,可防止油基液压流体对系统中橡胶的侵蚀;以乙二醇为主要组分的水基液压流体是一种不能燃烧的液压流体,运用于飞机、汽车和高温作业的模压机。乙二醇有许多重要的衍生物。低分子量聚乙二醇(一缩乙二醇、二缩乙二醇、三缩乙二醇或分别称二甘醇、三甘醇、四甘醇)实际上是环氧乙烷水合制得乙二醇的副产物。二甘醇可用作增湿剂、增塑剂、上浆剂、印刷油墨溶剂、天然气脱水干燥剂和芳烃萃取溶剂。二甘醇二硝酸酯与乙二醇二硝酸酯相似,也是一种重要的工业炸药。高分子量聚乙二醇根据分子量的不同,从无色透明粘稠液体到蜡状固体,也是一类有用的衍生物。用作润滑剂、水分保持剂、溶剂以及橡胶和食品工业的中间体,亦用于配制化妆品以及纺织、造纸等领域的助剂。乙二醇的酯品种很多,广泛用作溶剂。长链脂肪酸的乙二醇酯具有表面改进性能,可单独使用或与其了表面活性剂共用,作为乳化剂、稳定剂、分散剂、增湿剂、发泡剂和悬浮剂等。乙二醇与尿素反应生成环亚乙基脲,用于纺织工业。乙二醇二钠与1,2-二溴乙烷反应,生成二氧六环,这是一种特殊的溶剂。对乙二醇采用不同的氧化剂或反应条件。氧化后可得到乙醇醛、乙二醛、乙醇酸、草酸等。
- 用途 气相色谱固定液(最高使用温度50℃,溶剂为氯仿),分离分析低沸点含氧化合物、胺类化合物、氮或氧杂环化合物。测定水泥中的氧化钙, 溶剂, 抗冻剂, 制造聚酯树脂、增塑剂、化妆品、炸药、耐寒润滑油、表面活性剂、清漆、染料、油墨等, 有机合成。
- 用途 主要用作生产合成树脂、表面活性剂及炸药,也用作防冻剂
- 生产方法 1.环氧乙烷直接水合法 为目前工业规模生产乙二醇的惟一方法。环氧乙烷和水在加压(2.23MPa)和190-200℃条件下,在管式反应器中直接液相水合制得乙二醇,同时副产一缩二乙二醇、二缩三乙二醇和多缩聚乙二醇。反应所得乙二醇稀溶液经薄膜蒸发器浓缩,再经脱水、精制后得合格乙二醇产品及副产品。2.环氧乙烷硫酸催化水合法 环氧乙烷与水在硫酸催化下,在60-80℃、9.806-19.61kPa的压力下水合生成乙二醇。反应液用液碱中和,经蒸发器蒸去水分,得80%的乙二醇,再在精馏塔中精馏提浓,得到98%以上的成品。本法为早期开发的方法,由于存在腐蚀、污染和产品质量问题,加之精制过程复杂,各国已逐渐停用,而改用直接水合法。3.乙烯直接水合法 不经环氧乙烷而直接从乙烯合成乙二醇。4.二氯乙烷水解法。5.甲醛法。
-
生产方法
乙二醇的制备在工业上采用氯乙醇法、环氧乙烷水合法和乙烯直接水合法,各种方法均有其特点,分述如下。
氯乙醇法
以氯乙醇为原料在碱性介质中水解而得,该反应在100℃下进行,先生成环氧乙烷,而后在1.01 MPa压力下加压水解生成乙二醇。
环氧乙烷水合法
环氧乙烷水合法有催化水合法和直接水合法,水合过程在常压下进行也可在加压下进行。常压水合法一般采用少量无机酸为催化剂,在50~70℃进行反应。
加压水合法环氧乙烷与水的摩尔比要较高,在1∶6以上,以减少生成醚的副反应,该反应的温度在150℃,压力147kPa.水合得到乙二醇。
目前有气相催化水合法,以氧化银为催化剂,氧化铝为载体,在150~240℃反应,生成乙二醇。
乙烯直接水合法
乙烯在催化剂(如氧化锑TeO2,钯催化剂)存在下在乙酸溶液中氧化生成单乙酸酯或二乙酸酯,进一步水解均得乙二醇。
以上几种方法以环氧乙烷水合法较好,工艺简单,适合于工业化。 - 类别 易燃液体
- 毒性分级 中毒
- 急性毒性 口服- 大鼠 LD50: 4700 毫克/ 公斤; 口服- 小鼠 LD50: 5500 毫克/ 公斤
- 刺激数据 皮肤- 兔子 555 毫克 轻度; 眼睛 -兔子 500 毫克/ 24小时 轻度
- 爆炸物危险特性 与空气混合可爆
- 可燃性危险特性 遇明火、高温、强氧化剂可燃; 燃烧产生刺激烟雾
- 储运特性 库房通风低温干燥
- 灭火剂 泡沫、二氧化碳、雾状水、砂土
- 职业标准 TWA 60 毫克/ 立方米; STEL 120 毫克/ 立方米
- 2,4-二氨基-6-巯基嘧啶 2-(2-溴乙基)-1,3-二恶烷 柞蚕丝织物后整理剂 鲁米诺 草酸二水合物 2-乙基-5-甲基噻吩 4-甲酰基苯硼酸 5-氯氧化吲哚 涤纶长丝 聚酯多元醇 3-苯甲酰基苯丙酮 无醛固色剂 固体酒精 N-乙烯基吡咯烷酮 6-氮杂胸腺嘧啶 21-碘-16Β-甲基孕甾-1,4,9(11)三烯-17Α-醇-3,20-二酮 乙二醇二缩水甘油醚 1-氯-2-甲基-1-丙烯 噻吩-2,3-二甲醛 4-羟甲基苯硼酸 麝香T 2-(2,4-二硝基苯氧基)乙醇 防冻液 16Α,17Α-环氧孕甾-5,9(11)-二烯-3,20-二酮双(环1,2-乙二基缩酮) 皂化溶解油 16Β-甲基孕甾-1,4,9(11)-三烯-17Α-醇-3,20-二酮 9Α-溴-16Β-甲基孕甾-1,4-二烯-11Β,17Α,21-三醇-3,20-二酮-21-醋酸酯 16Β-甲基孕甾-4,9(11)-二烯-17Α-醇-3,20-二酮 17-乙炔基-17-羟基-18-甲基雌甾-5(10),9(11)-二烯-3-酮-3-乙二醇缩酮 PREGNA-1,4,9(11)-TRIENE-3,20-DIONE, 21-(ACETYLOXY)-17-HYDROXY-16-METHYL-, (16Β) 4,5-二甲基噻吩-2-羰酸 5-[(1,3-DIOXO-1,3-DIHYDRO-2H-ISOINDOL-2-YL)METHYL]-2-FURALDEHYDE 2,4-二甲基噻吩 2,3-二甲基噻吩 2-苯基咪唑啉 4,5-二甲基噻吩-2-羧醛 2-氟乙醇 醋酸地塞米松 9,11β-环氧-17-羟基-16β-甲基-3,20-二氧-9β-孕烷-1,4-二烯-21-乙酸酯 颜料黄 185
- 更新日期:2026/03/03
- 产品编号:A11591
- 产品名称:乙二醇, 99% Ethylene glycol, 99%
- CAS编号:107-21-1
- 包装:250g
- 价格:334元
- 更新日期:2026/03/03
- 产品编号:044529
- 产品名称:乙二醇, 光谱级, 99+% Ethylene glycol, Spectrophotometric grade, 99+%
- CAS编号:107-21-1
- 包装:1L
- 价格:1521元
- 阿根廷 3 阿拉伯联合酋长国 5 奥地利 1 澳大利亚 6 巴基斯坦 2 巴西 4 保加利亚 1 比利时 7 波兰 3 丹麦 1 德国 35 俄罗斯 4 法国 9 菲律宾 1 芬兰 1 哥斯达黎加 1 韩国 8 荷兰 12 加拿大 14 捷克共和国 3 卡塔尔 1 科威特 1 黎巴嫩 1 罗马尼亚 1 马来西亚 6 美国 162 美洲 1 墨西哥 10 南非 2 挪威 1 欧洲 5 日本 19 瑞典 1 瑞士 4 斯洛伐克 1 泰国 3 土耳其 4 西班牙 4 新加坡 5 伊朗 2 意大利 10 印度 260 印度尼西亚 1 英国 30 智利 1 中国 862 全球 1519 防冻液乙二醇国内生产厂家
- 公司名称:山东满堂红新材料有限公司
- 联系电话: 15508636828
- 电子邮件:3804604985@qq.com
- 国家:中国
- 产品数:459
- 优势度:58
- 公司名称:山东鑫隆辉化工进出口有限公司
- 联系电话: 15866633566
- 电子邮件:395636713@qq.com
- 国家:中国
- 产品数:75
- 优势度:58
- 公司名称:上海阿拉丁生化科技股份有限公司
- 联系电话:400-6206333 13167063860
- 电子邮件:anhua.mao@aladdin-e.com
- 国家:中国
- 产品数:26486
- 优势度:65
- 公司名称:南通润丰石油化工有限公司
- 联系电话:66017690 19952660367
- 电子邮件:2143087160@qq.com
- 国家:中国
- 产品数:2998
- 优势度:58
- 公司名称:济南弘利化工有限公司
- 联系电话: 18354135979
- 电子邮件:970731907@qq.com
- 国家:中国
- 产品数:87
- 优势度:58
- 公司名称:济南飞越化工有限公司
- 联系电话: 18615221057
- 电子邮件:913474026@qq.com
- 国家:中国
- 产品数:128
- 优势度:58
- 公司名称:沈阳依莱普克斯化工有限公司
- 联系电话:024-31124838 15840046119
- 电子邮件:hxwdonald@wzeti.com
- 国家:中国
- 产品数:497
- 优势度:58
- 公司名称:山东省鑫祥晟化工进出口有限公司
- 联系电话: 15966621665
- 电子邮件:552183830@qq.com
- 国家:中国
- 产品数:30
- 优势度:58
- 公司名称:濮阳市凯胜化工有限公司
- 联系电话:0393-6986680 13030328258
- 电子邮件:kshg680@163.com
- 国家:中国
- 产品数:22
- 优势度:58
- 公司名称:巴师傅(上海)生物医药科技有限公司
- 联系电话:60662071 18117346937
- 电子邮件:18117346937@163.com
- 国家:中国
- 产品数:4997
- 优势度:58
