ChemicalBook CAS数据库列表 琥珀酸美托洛尔
琥珀酸美托洛尔
- CAS号:98418-47-4
- 英文名:Metroprolol succinate
- 中文名:琥珀酸美托洛尔
- CBNumber:CB3686041
- 分子式:2C15H25NO3.C4H6O4
- 分子量:652.82
- MOL File:98418-47-4.mol
琥珀酸美托洛尔化学性质
- 熔点 :136-138°C
- 储存条件 :Hygroscopic, Refrigerator, under inert atmosphere
- 溶解度 :Freely soluble in water, soluble in methanol, slightly soluble in ethanol (96 per cent), very slightly soluble in ethyl acetate.
- 形态 :Solid
- 颜色 :White to Off-White
- 稳定性 :Hygroscopic
- InChI :InChI=1S/2C15H25NO3.C4H6O4/c2*1-12(2)16-10-14(17)11-19-15-6-4-13(5-7-15)8-9-18-3;5-3(6)1-2-4(7)8/h2*4-7,12,14,16-17H,8-11H2,1-3H3;1-2H2,(H,5,6)(H,7,8)
- InChIKey :RGHAZVBIOOEVQX-UHFFFAOYSA-N
- SMILES :C1(OCC(O)CNC(C)C)=CC=C(CCOC)C=C1.C(C(=O)O)CC(=O)O.C1(OCC(O)CNC(C)C)=CC=C(CCOC)C=C1
安全信息
- 海关编码 :2922190900
琥珀酸美托洛尔性质、用途与生产工艺
- 概述 琥珀酸美托洛尔(Metoprolol Succinate,1),化学名为(±)-1-异丙氨基-3-[4-(2-甲氧乙基)苯氧基]-2-丙醇琥珀酸盐,是英国阿斯利康公司研制的β1受体阻滞剂,新型琥珀酸美托洛尔缓释片于1986年在欧美上市,商品名为倍他乐克。临床主要用于治疗高血压、心绞痛、心肌梗死、肥厚型心肌病等。
-
理化性质
外观:白色或近白色结晶性粉末。 溶解性:在水中易溶,在甲醇中溶解,微溶于乙醇,难溶于乙酸乙酯。
图2为琥珀酸美托洛尔
-
抗高血压药
目前国内广泛用于高血压、冠心病、慢性心力衰竭和心律失常治疗的选择性β1受体阻滞剂酒石酸美托洛尔为美托洛尔普通片,其消除半衰期较短,约3~4小时,故血浆药物浓度波动较大,且每天需2~4次服药。为了克服这些缺点,阿斯利康公司最近推出的琥珀酸美托洛尔缓释片是一种全新的美托洛尔长效制剂,每天只需服药1次,就能保证24小时恒定的美托洛尔血药浓度及β1受体阻滞效应,在药理学及临床治疗学上均具有诸多优势。临床上主要用于治疗高血压、心绞痛、伴有左心室收缩功能异常的症状稳定的慢性心力衰竭。
口服,一天一次,最好在早晨服用,可掰开服用,但不能咀嚼或压碎,服用时应该用至少半杯液体送服。同时摄入食物不影响其生物利用度。剂量应个体化,以避免心动过缓的发生。下列是有效的用药指导:高血压:47.5~95mg,一日一次。服用95mg琥珀酸美托洛尔缓释片无效的患者可合用其它抗高血压药,最好是利尿剂和二氢吡啶类的钙拮抗剂,或者增加剂量。心绞痛:95~190mg,一日一次。需要时可合用硝酸酯类药物或增加剂量。 -
制备方法
1.一是以乙酰化的 3-[4-(2- 甲氧基乙基苯氧基)]-1,2- 环氧丙烷为起始物料反应,最后经过催化氢化得到美托洛尔碱,再与琥珀酸反应可以得到产品。本方法中的制备工艺虽然较简单,只需一步反应即可得到美托洛尔碱,但起始物料 1,2- 环氧 -3-[4-(1- 乙酰基 -2- 甲氧基乙基苯氧基)]- 丙烷无法直接购得,需要自制。
2.以对甲氧基乙基苯酚为起始物料,通过与环氧氯丙烷、异丙胺、琥珀酸反应生成琥珀酸美托洛尔。方法中描述的制备工艺在较多文献中采用,但工艺中使用四丁基溴化铵、聚乙二醇等相转移催化剂,实验操作繁琐;且工艺中使用二氯甲烷等溶剂,产生大量废液,不易回收,污染环境,增加生产成本。
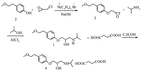
3.以对甲氧基乙基苯酚(2)为原料,在氢氧化钠作用下与环氧氯丙烷取代生成 3-[4-(2- 甲氧乙基 - 苯氧基 ]-1,2- 环氧丙烷(3),再在异丙醇中与异丙胺开环加成得到 1-异丙氨基 -3-[4-(2- 甲氧乙基)- 苯氧基 ]-2- 丙醇(4),即美托洛尔,最后与琥珀酸反应生成琥珀酸美托洛尔(1),总收率约 55%。
图2为琥珀酸美托洛尔的合成路线图1
4.以4-(2-甲氧基乙基) 苯酚和环氧氯丙烷为原料在相转移催化剂四丁基溴化铵催化下,先得到1-(2,3-环氧丙氧基)-4-(2-甲氧基乙基)-苯; 再与异丙胺在催化剂 AlCl3的作用下反应,得到美托洛尔; 最后将美托洛尔与琥珀酸的饱和乙醇溶液反应即得琥珀酸美托洛尔。
图3为琥珀酸美托洛尔的合成路线图2
-
应用
高血压、心绞痛。伴有左心室收缩功能异常的症状稳定的慢性心力衰竭。
表1为琥珀酸美托洛尔缓释片用药方案
-
主要参考资料
[1]https://wenku.baidu.com/view/cdd33b4e763231126edb1166.html.
[2]彭坤,王京凯,李晗.琥珀酸美托洛尔的合成分析[J].中国医学创新,2014,11(17):119-121.
[3]樊琳静,闫明,陈灵娟,姚军.琥珀酸美托洛尔有关物质的结构分析[J].河北师范大学学报(自然科学版),2012,36(03):269-274.
[4]侯雅琴,刘彩娟,左俊明,崔广智,牟佳佳.琥珀酸美托洛尔的合成工艺改进[J].药学研究,2016,35(02):117-119.
[5]https://mp.weixin.qq.com/s?src=3×tamp=1515638118&ver=1&signature=K-TjHVZWZt-JXUbL4xhEG6ziX4gEeWXpuotwMh*pp37hQoakLcf1DIZTlqtf-15HaHrtxdIRPwL3YD-tiCgT*chKUlgjr3drUqK02m3Eqa0fk1Gr6BzOLe3N5cduuzfOQM5dChGAdbKl3BUp1McTzR943e2iM877-3y14KCrlaA=. - 用途 用于心绞痛,高血压治疗的原料药。美托洛尔是一种选择性β1受体阻滞剂,是治疗高血压、冠心病 慢性心力衰竭和心律失常的常用药物之一
琥珀酸美托洛尔上下游产品信息
上游原料
下游产品
琥珀酸美托洛尔 试剂级价格
- 更新日期:2026/03/03
- 产品编号:S5341
- 产品名称:琥珀酸美托洛尔 Metroprolol succinate
- CAS编号:98418-47-4
- 包装:25mg
- 价格:794.64元
- 更新日期:2025/12/22
- 产品编号:HY-17503A
- 产品名称:琥珀酸美托洛尔 Metoprolol Succinate
- CAS编号:98418-47-4
- 包装:50mg
- 价格:700元
琥珀酸美托洛尔生产厂家
- 公司名称:西安宇泰药业有限公司
- 联系电话:29-81372081 13991838913
- 电子邮件:13991838913@163.com
- 国家:中国
- 产品数:14
- 优势度:58
- 公司名称:武汉逸翮科技有限公司
- 联系电话:1842-7358864 18427358864
- 电子邮件:yihekeji@chembuying.com
- 国家:中国
- 产品数:831
- 优势度:58
- 公司名称:成都圣美凯生物科技有限公司
- 联系电话:028-85157043 15882256948
- 电子邮件:676046971@qq.com
- 国家:中国
- 产品数:4185
- 优势度:58
- 公司名称:LGM Pharma
- 联系电话:1-(800)-881-8210
- 电子邮件:inquiries@lgmpharma.com
- 国家:美国
- 产品数:2123
- 优势度:70
- 公司名称:孝感深远化工有限公司
- 联系电话:15527621225; 15527621225
- 电子邮件:1791901229@qq.com
- 国家:中国
- 产品数:6891
- 优势度:52
- 公司名称:国药集团化学试剂有限公司
- 联系电话:86-21-63210123
- 电子邮件:sj_scrc@sinopharm.com
- 国家:中国
- 产品数:9815
- 优势度:79
- 公司名称:合肥拓锐生物科技有限公司
- 联系电话:0551-65326752 14755135869
- 电子邮件:xxhasym@163.com
- 国家:中国
- 产品数:48
- 优势度:60
- 公司名称:北京华美互利生物化工
- 联系电话:010-56205725
- 电子邮件:waley188@sohu.com
- 国家:中国
- 产品数:12335
- 优势度:58
- 公司名称:上海遐瑞医药科技有限公司
- 联系电话:+86 21 61551611
- 电子邮件:
- 国家:中国
- 产品数:9891
- 优势度:58
- 公司名称:上海皓元医药股份有限公司
- 联系电话:021-58950125
- 电子邮件:info@chemexpress.com
- 国家:中国
- 产品数:7552
- 优势度:61
琥珀酸美托洛尔图谱信息
98418-47-4, 琥珀酸美托洛尔相关搜索: