ChemicalBook CAS数据库列表 亚磷酸二异丙酯
亚磷酸二异丙酯
- CAS号:1809-20-7
- 英文名:Diisopropyl phosphite
- 中文名:亚磷酸二异丙酯
- CBNumber:CB5671052
- 分子式:C6H15O3P
- 分子量:166.16
- MOL File:1809-20-7.mol
亚磷酸二异丙酯化学性质
- 沸点 :71 °C (8 mmHg)
- 密度 :0.997
- 折射率 :1.4065-1.4085
- 闪点 :69°C
- 储存条件 :Inert atmosphere,Room Temperature
- 溶解度 :Chloroform (Sparingly), Methanol (Sparingly)
- 形态 :Liquid
- 颜色 :Clear colorless
- 比重 :1
- 水溶解性 :soluble
- 敏感性 :Moisture Sensitive
- InChI :InChI=1S/C6H15O3P/c1-5(2)8-10(7)9-6(3)4/h5-6,10H,1-4H3
- InChIKey :BLKXLEPPVDUHBY-UHFFFAOYSA-N
- SMILES :P(=O)(OC(C)C)OC(C)C
- CAS 数据库 :1809-20-7(CAS DataBase Reference)
- NIST化学物质信息 :Phosphonic acid, di-isopropyl ester(1809-20-7)
- EPA化学物质信息 :Phosphonic acid, bis(1-methylethyl) ester (1809-20-7)
安全信息
- 危险品标志 :Xn
- 危险类别码 :36/37/38-22
- 安全说明 :37/39-26
- 危险品运输编号 :3265
- RTECS号 :SZ7660000
- TSCA :TSCA listed
- 海关编码 :29209085
- 毒性 :guinea pig,LC50,inhalation,9010mg/m3 (9010mg/m3),LUNGS, THORAX, OR RESPIRATION: OTHER CHANGESGASTROINTESTINAL: CHANGES IN STRUCTURE OR FUNCTION OF SALIVARY GLANDSBEHAVIORAL: CONVULSIONS OR EFFECT ON SEIZURE THRESHOLD,Gigiena Truda i Professional'nye Zabolevaniya. Labor Hygiene and Occupational Diseases. Vol. 29(11), Pg. 51, 1985.
亚磷酸二异丙酯 MSDS
Diisopropyl phosphite
亚磷酸二异丙酯性质、用途与生产工艺
- 化学性质 本品为无色透明液体,b.p.69.5℃(72~74℃/1.73kPa),n20D 1.4970,相对密度0.9981(20℃),具有腐蚀性,溶于乙醇等有机溶剂。亚磷酸二异丙酯可溶于水,在次氯酸钠(NaClO)存在下可以被氧化为活性中间体亚磷酸二异丙酯磷酰氯,该磷酰氯中间体可以和脯氨酸的伯氨基进行反应,生成磷酰胺结构中间体,可用于制备碳青霉烯抗菌药厄他培南钠。
- 用途 亚磷酸二异丙酯是合成有机磷杀菌剂异稻瘟净的关键中间体,通过合成O,O-二异丙基硫(醇)代磷酸铵,进而制备有机磷杀菌剂异稻瘟净。其与多聚甲醛反应生成羟甲基亚磷酸二异丙酯,再经过多个反应可获得抗乙肝药物阿德福韦酯。
-
生产方法
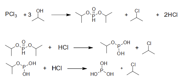
其制备方法是由异丙醇直接与三氯化磷反应,即制得亚磷酸二异丙酯。
3(CH3)2CHOH+PCl3→[(CH3)2CHO]2POH+2HCl↑+(CH3)2CHCl
将异丙醇以215 kg/h、三氯化磷以150 kg/h的速度[配比为3∶1(mol)]连续进料,混合后猛烈反应,产生的氯化氢气体通过真空汞从混料锅迅速排除,生成的粗酯进入降膜式甩盘脱酸器加热,进一步脱酸,以120~130℃的温度离开脱酸器,将其冷却到40℃以下,即得含量为92%~95%的产品,收率95%~98%。
亚磷酸二异丙酯上下游产品信息
上游原料
下游产品
亚磷酸二异丙酯 试剂级价格
- 更新日期:2026/03/03
- 产品编号:B23800
- 产品名称:亚磷酸二异丙酯, 98% Diisopropyl phosphite, 98%
- CAS编号:1809-20-7
- 包装:100g
- 价格:884元
- 更新日期:2026/03/03
- 产品编号:11526
- 产品名称:亚磷酸二异丙酯 Diisopropyl phosphite, 98%, Thermo Scientific Chemicals
- CAS编号:1809-20-7
- 包装:100g
- 价格:1220元
亚磷酸二异丙酯生产厂家
- 公司名称:南京一化生物科技有限公司
- 联系电话:13429882898; 13429882898
- 电子邮件:1096323105@qq.com
- 国家:中国
- 产品数:291
- 优势度:58
- 公司名称:北京百灵威科技有限公司
- 联系电话:18210857532; 18210857532
- 电子邮件:jkinfo@jkchemical.com
- 国家:中国
- 产品数:96815
- 优势度:76
- 公司名称:阿法埃莎(中国)化学有限公司
- 联系电话:400-6106006
- 电子邮件:saleschina@alfa-asia.com
- 国家:中国
- 产品数:30123
- 优势度:84
- 公司名称:太原市瑞和丰科贸有限公司
- 联系电话:+86 351 7031519
- 电子邮件:sales@RHFChem.com
- 国家:中国
- 产品数:2338
- 优势度:56
- 公司名称:梯希爱(上海)化成工业发展有限公司
- 联系电话:021-67121386
- 电子邮件:Sales-CN@TCIchemicals.com
- 国家:中国
- 产品数:24529
- 优势度:81
- 公司名称:安耐吉化学&3A(安徽泽升科技有限公司)
- 联系电话:021-021-58432009 400-005-6266
- 电子邮件:sales8178@energy-chemical.com
- 国家:中国
- 产品数:44802
- 优势度:61
- 公司名称:北京偶合科技有限公司
- 联系电话:13552068683 13522913783
- 电子邮件:2355560935@qq.com
- 国家:中国
- 产品数:11776
- 优势度:60
- 公司名称:韶远科技(上海)有限公司
- 联系电话:021-50795510 4000665055
- 电子邮件:marketing@accelachem.com
- 国家:中国
- 产品数:10989
- 优势度:64
- 公司名称:上海隆盛化工有限公司
- 联系电话:58099637 13585536065
- 电子邮件:sales@shlschem.com
- 国家:中国
- 产品数:9893
- 优势度:59
- 公司名称:上海瀚鸿科技股份有限公司
- 联系电话:021-54306202 13764082696
- 电子邮件:info@hanhongsci.com
- 国家:中国
- 产品数:42934
- 优势度:64
亚磷酸二异丙酯图谱信息
1809-20-7, 亚磷酸二异丙酯相关搜索: