Uses
(S) -1- (2,6-dichloro-3-fluorophenyl) ethanol(C8H7C12FO) is synthesized (R)-3-[l-(2, 6-dichloro-3-fluoro-benzene)- The key intermediate of ethoxy-5- (l-piperidine-4-hydroxy-1 hydrogen-pyrazole-4-hydroxy) -pyrimidine-2-indane. And (R)-3-[l-(2,6-dichloro-3-fluoro-benzene)-ethoxy-5-(l-piperidine-4-hydroxy-1 hydrogen-pyrazole-4-hydroxy) -Pyrimidine-2-indane is a small molecule kinase inhibitor for the treatment of locally advanced or metastatic non-small cell lung cancer (NSCLC) positive for anaplastic lymphohematokinase (ALK).
Uses
(S)-1-(2,6-Dichloro-3-fluorophenyl)ethanol is an intermediate in the synthetic preparation of Crizotinib (C785000), a potent and selective dual inhibitor of mesenchymal-epithelial transition factor (c-MET) kinase and anaplastic lymphoma kinase (ALK). Crizotinib is a potential antitumor agent.
Synthesis
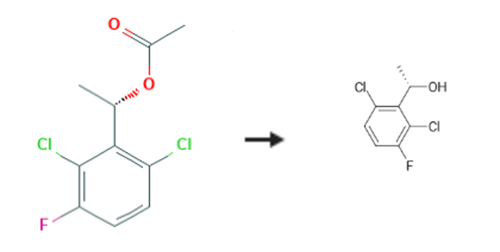
(S)-1-(2,6-Dichloro-3-fluorophenyl)ethanol is synthesised using (1S)-1-(2,6-dichloro-3-fluorophenyl)ethyl acetate as a raw material by chemical reaction. The specific synthesis steps are as follows:
Sodium methoxide (19 mmol; 0.5 M in methanol) was added slowly to compound S-2 (4.64 g, 18.8 mmol) under a nitrogen atmosphere at 0° C. The resulting mixture was stirred at room temperature for 4 hours. The solvent was evaporated and H2O (100 mL) was added. The cooled reaction mixture was neutralized with sodium acetate-acetic acid buffer solution to pH 7. Ethyl acetate (100 mL.x.2) was added to extract the aqueous solution. The combined organic layers were dried over Na2SO4, filtered, and evaporated to obtain S-1 as a white solid (4.36 g, 94.9percent yield); SFC-MS: 97percent ee. 1H NMR (400 MHz, chloroform-D) δ ppm 1.65 (d, J=6.8 Hz, 3 H) 5.58 (q, J=6.9 Hz, 1H) 6.96-7.10 (m, 1H) 7.22-7.36 (m, 1H).
References
[1] Patent: CN105237346, 2016, A. Location in patent: Paragraph 0050; 0051; 0052; 0053; 0054; 0055; 0056-0061
[2] Patent: WO2012/48259, 2012, A2. Location in patent: Page/Page column 38-39
[3] Patent: WO2012/48258, 2012, A2. Location in patent: Page/Page column 31-32
[4] Bioorganic and Medicinal Chemistry, 2013, vol. 21, # 21, p. 6804 - 6820
[5] Patent: WO2013/17989, 2013, A1