Uses
Esters derived from trans-4-methoxycinnamic acid are effective absorbers of UV radiation. The starting material was trans-4-methoxycinnamic acid and 3,5dimethoxybenzoic acid methyl ester in isolated avenanthramide alkaloids synthsis. trans-4-Methoxycinnamic acid was converted into its acid chloride (yield 98%) with thionyl chloride. Employed in organic synthesis of pharmaceutical intermediates, synthetic anti-adrenergic drugs esmolol, cosmetics ultraviolet absorption.
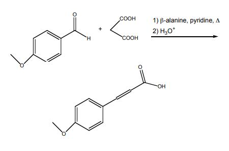
Preparation
4-methoxycinnamic acid synthesis : In a 25-mL, roundbottomed flask, 4-methoxybenzaldehyde (0.804 mL, 6.61 mmol) (3), malonic acid (1.75 g, 16.8 mmol), and β-alanine (0.10 g, 1.12 mmol) were dissolved in pyridine (3.0 mL, 37.1 mmol) and heated under reflux for 90 minutes. After cooling to room temperature, the reaction mixture was placed in an ice bath and 8.0 mL of concentrated HCl was slowly added. The resulting white precipitate was collected by vacuum filtration, washed with cold water (2 x 10mL) and dried thoroughly. The product was recrystallized from absolute ethanol (~20 mL).

Synthesis of 4-methoxycinnamic acid