Description
4-Bromomethyl-2-cyanobiphenyl is an important pharmaceutical intermediate and organic synthetic material used in the preparation of drugs of the sartan class such as azilsartan ester and temisartan. It is also used in the synthesis of other pyrazolines and related derivatives. In addition, recently reported studies on the role of 4-Bromomethyl-2-cyanobiphenyl in the determination of potential genotoxic impurities in temesartan using ESI-MS/MS technique and thermodynamic studies in different solvents
[1-2].
Chemical Properties
4-Bromomethyl-2-cyanobiphenyl is Cream powder
Uses
4-Bromomethyl-2-cyanobiphenyl used in protein-binding studies of quinoxaline angiotensin II receptor antagonists.
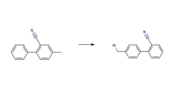
Synthesis
4-Bromomethyl-2-cyanobiphenyl is synthesised using 2-cyano-4-methylbiphenyl as a raw material by chemical reaction. The specific synthesis steps are as follows:
A method for preparing dibromohydantoin-based normal temperature bromosartan biphenyl. Dissolve 10g 2-cyano-4-methylbiphenyl in 30mL dichloromethane and put it into syringe A tube; add 9g dibromo Hydantoin was dissolved in 30 mL of dichloromethane and put into the syringe B tube. Install the two syringes A and B on the flow syringe pump and assemble them. Set the flow rate of the two tubes A and B to 1.5 mL/min. Turn on the constant temperature water bath device, heat to 50°C, keep the temperature, turn on 4000K LED light with 475nm light for 30 minutes, and turn on the flow reactor at the same time. After the reaction is completed, add 15g of sodium bisulfite to the receiving product to quench, separate the liquids, remove the solvent by rotary evaporation of the organic phase, add isopropyl ether to recrystallize, filter with suction, and place the filter cake in an oven to obtain a pure product. The product 4-Bromomethyl-2-cyanobiphenyl has a purity of 90% and a yield of 94%.
References
[1] MANIKANTH REDDY YARALA; Sowjanya G. Determination of Potential Genotoxic Impurities (Orthophenylene Diamine Dihydrochloride), 4'-Bromomethyl-2-Cyanobiphenyl, 4'(Dibromomethyl)[1,1'-Biphenyl]-2-Carbonitrile in Telmisartan by ESI-MS/MS.[J]. Journal of chromatographic science, 2023. DOI:10.1093/chromsci/bmab139.
[2] JINGXIANG YANG . Thermodynamics of 4’-bromomethyl-2-cyanobiphenyl in different solvents[J]. Journal of Chemical Thermodynamics, 2015. DOI:10.1016/j.jct.2014.12.002.