Synthesis
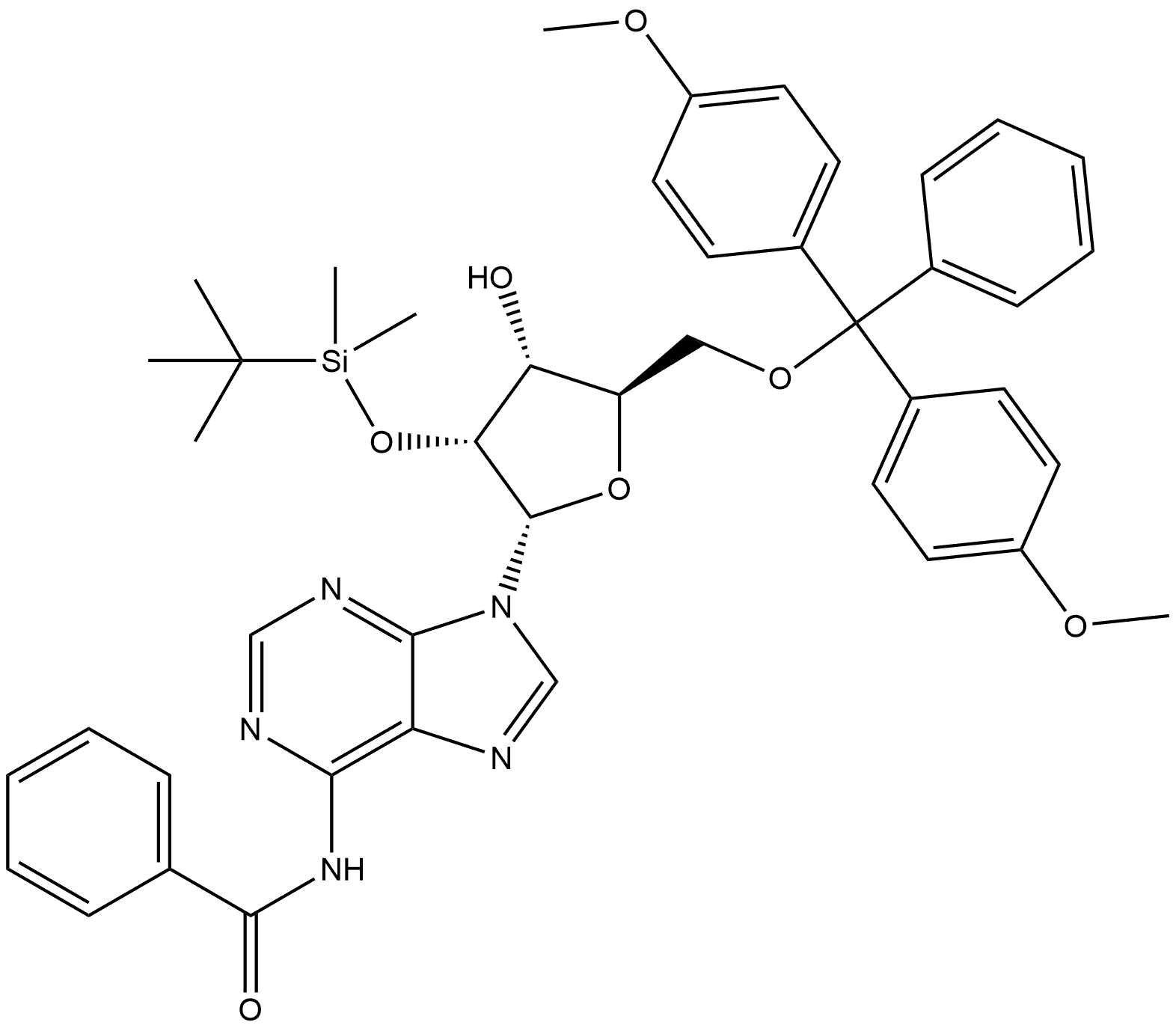
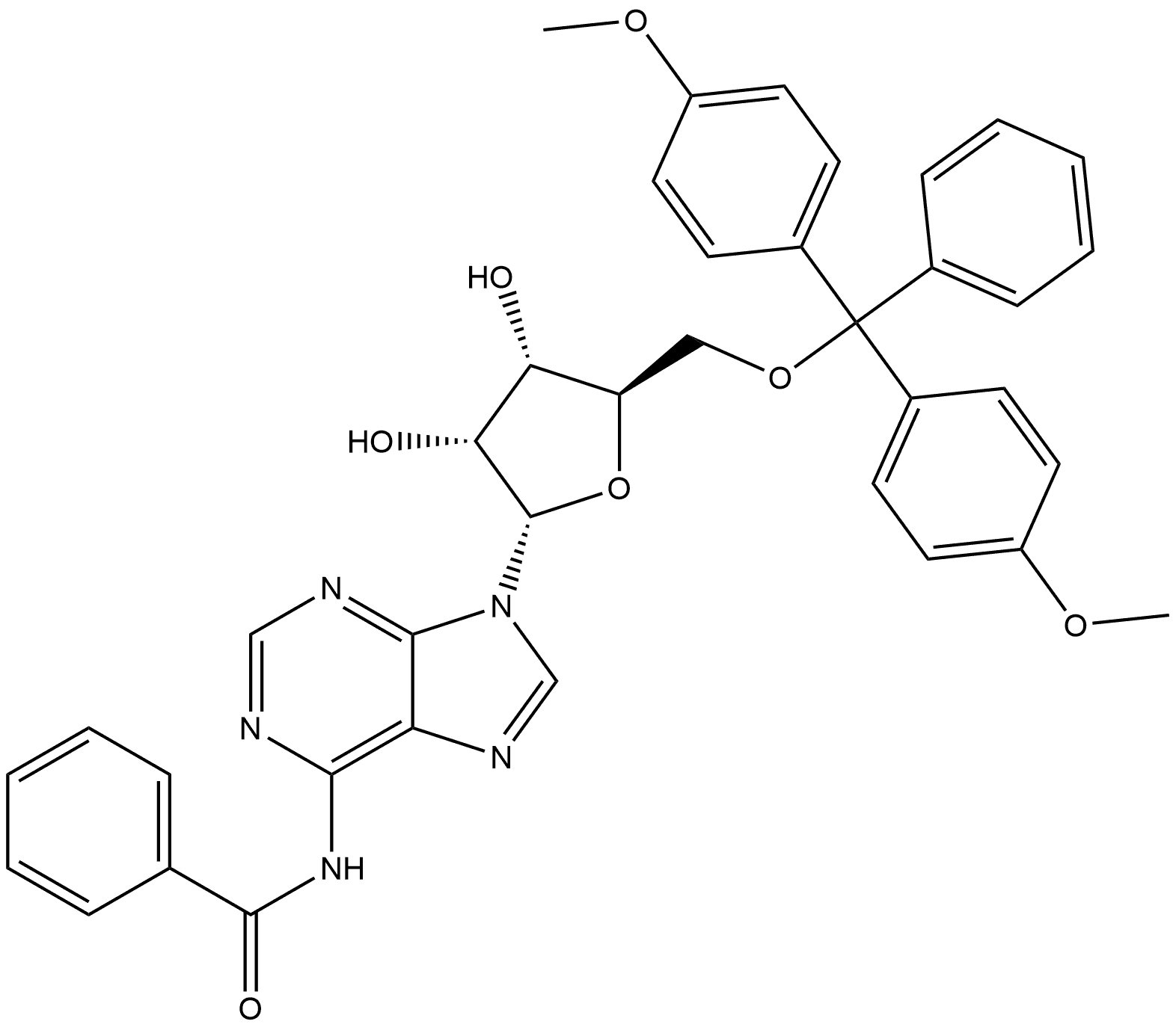
Synthesis of N-(9-((2R,3R,4S,5R)-5-((bis(4-methoxyphenyl)(phenyl)methoxy)methyl)-4-((tert-butyldimethylsilyl)oxy)-3-hydroxytetrahydrofuran-2-yl)-9H-purin-6-yl)benzamide ( CAS:129681-71-6) was prepared in the following general procedure: to a mixed solution of tetrahydrofuran (THF, 800 mL) and pyridine (15 mL) of the product of the previous step (200 g, 296.9 mmol) was added, in sequence, silver cyanide (AgNCb, 83.2 g, 489.8 mmol, 1.65 eq.) and tert-butyldimethylchlorosilane ( TBSCl, 78.7 g, 522.5 mmol, 1.76 equiv). The reaction mixture was stirred at room temperature for 16 hours. After completion of the reaction, the mixture was filtered, diluted with water (H2O, 1.0 L) and extracted with ethyl acetate (EtOAc, 3 x 1.0 L). The organic layers were combined, washed with brine (2 × 1.0 L), dried over anhydrous sodium sulfate (Na2SO4) and concentrated under reduced pressure. The residue was purified by silica gel (SiO2) column chromatography with petroleum ether/ethyl acetate (3:1 to 1:1) as eluent to give the products D-2a (114 g, 145 mmol, 49% yield) and D-2b (53 g, 68 mmol, 23% yield).
References
[1] Patent: WO2018/156625, 2018, A1. Location in patent: Paragraph 0296
[2] Canadian Journal of Chemistry, 1982, vol. 60, p. 111 - 120