Description
Lufenuron is an insect development inhibitor of the
benzoylphenyl urea class. It demonstrates activity against
fleas that have fed on treated cats and dogs and become
exposed to lufenuron in the host’s blood. Lufenuron also
has activity by virtue of its presence in adult flea feces,
leading to its ingestion by flea larvae. Both activities result
in the production of eggs that are unable to hatch, causing
significant reductions in flea larvae populations. The
lipophilicity of lufenuron leads to its deposition in adipose
tissues of animals from where it is slowly released into the
bloodstream. This permits effective blood concentrations
to be maintained throughout the recommended oral dosing
interval of 1 month.
Uses
Lufenuron is used for the control of Lepidoptera and Coleoptera
larvae on cotton, maize and vegetables, and of citrus whitefly and rust
mites on citrus fruit. It is also used to control fleas on pets and cockroaches
in houses.
Definition
ChEBI: Lufenuron is a benzoylurea insecticide, a dichlorobenzene, a N-acylurea, an aromatic ether and an organofluorine compound.
Flammability and Explosibility
Not classified
Pharmacology
Antiparasitic. Lufenuron is a benzoylurea insecticide. This class of insecticides was previously used on fruits to decrease damage by insects. Lufenuron (Program) has been used for prevention of flea infections in dogs and cats because it inhibits chitin synthesis. For this use, it has been given to dogs at a dose of 10 mg/kg every 30 days and to cats at a dose of 30 mg/kg every 30 days. It may also have some inhibition on fungal cell membranes because it inhibits the cell wall of fungi, which contain chitin, and other complex polysaccharides. Because of this property on fungal cell membranes, there has been interest in using lufenuron to treat dermatophytes in small animals. However, proven efficacy has been controversial. Well-controlled studies have not confirmed consistent efficacy for treating dermatophytes in animals.
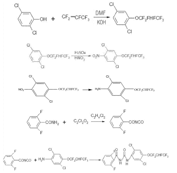
Synthesis
A method for preparing Lufenuron comprises an addition reaction, a nitration reaction, a reduction reaction, an esterification reaction, and a four-step construction reaction, primarily involving the following steps:
Step 1,2,5-chlorophenesic acid are dissolved in effect and the reaction of gas perfluoro propylene of passing through potassium hydroxide solution among the DMF and generate the IMA crude product, and crude product is through after washing, and rectifying obtains the IMA elaboration in rectifying tower;
Step 2, IMA carries out nitration reaction in the vitriol oil and nitrosonitric acid;
Step 3 in etoh solvent, take gac as carrier, under the catalysis of catalyzer and salt of wormwood, is reduced IMB with reductive agent;
Step 4, in ethylene dichloride 2,6-difluorobenzamide and oxalyl chloride carry out esterification and obtain intermediate compound I MD;
Step 5, IMC and IMD building-up reactions in tetracol phenixin obtains the lufenuron finished product.
Veterinary Drugs and Treatments
Lufenuron is approved for use in dogs and cats 6 weeks of age and
older for the control of flea populations. The combination product
of lufenuron and milbemycin (Sentinel) is indicated
for use
in puppies and dogs 4 weeks and older for prevention and control
flea populations, prevention
of heartworm disease, control of adult
hookworms, and the removal and control of adult roundworms
and whipworms.
Lufeneron showed initial promise as a treatment for fungal infections,
but the early enthusiasm has dampened considerably as
efficacy appears doubtful.
Metabolic pathway
Only limited information is available in the open literature on the
metabolism of lufenuron.
Degradation
Lufenuron is less stable at alkaline pH than under acidic conditions. The
DT
50 at 25 °C is 160 days at pH 5,70 days at pH 7 and 32 days at pH 9
(PM).
Mode of action
Lufenuron has no systemic or translaminar effect. It is persistent with a transovarial effect. It may reduce the egg-Iaying rate or hinder the hatching process of embryos.