Chemical Properties
Colorless liquid
Uses
3-Oxetanone can be used to synthesize:
- Various oxetane-containing lead compounds with improved solubility, reduced lipophilicity and amphiphilicity.
- (Hydroxymethyl)oxazoles and (hydroxymethyl)thiazoles via single-step microwave mediated reaction with primary amides and thioamides, respectively.
- Oxetane containing spirocycles through thermal 1,3-dipolar cycloaddition reaction with α-amino acids or secondary α-amino acid esters.
Uses
3-Oxetanone is used as a starting material for the preparation of other oxetanes compounds, which are of pharmacological interest. It is also considered as an object for theoretical studies.
Definition
3-oxetanone (1,3-epoxy2-propanone, cC3H4O2) is a highly strained molecule functional in ring expansion and addition reactions. This molecule has also been proposed as a decomposition product of acetonylperoxy radical in the atmosphere. 3-oxetanone is suspected in the decomposition of the acetonylperoxy radical, an intermediate formed during the atmospheric processing of acetone. Atmospheric acetone degradation produces the acetonyl radical, CH3C(O)CH2, which reacts with O2 to form the acetonylperoxy radical. Rate constants predicted by a canonical variational theory/small-curvature tunneling method show that the radical isomerising produces 3-oxetanone and hydroxyl radical. These are the dominant products in the 2502000 K range. There is no significant branching to other products below 1200 K. The only published study of the dissociation of 3-oxetanone is a Rice-Ramsperger-KasselMarcus (RRKM) analysis of the unimolecular rate constant for the photolysis of 3-oxetanone, producing ketene and formaldehyde[1-2].
General Description
Product may polymerize over time during storage.
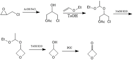
Synthesis
the synthesis method takes the chloroepoxypropane as a raw material, and
synthesizes the 3-oxetanone by five steps of ring-opening reaction,
addition reaction, cyclization reaction, hydrolysis reaction and
oxidation reaction.
References
[1] Sumitra Godara, Manikandan Paranjothy, Pooja Verma. “Dissociation Chemistry of 3-Oxetanone in the Gas Phase.” The Journal of Physical Chemistry A 121 36 (2017): 6679–6686.
[2] Emily M. Wright. “Pyrolysis Reactions of 3-Oxetanone.” The Journal of Physical Chemistry A 119 29 (2015): 7966–7972.