除草剂之草铵膦
发布日期:2023/4/28 9:12:24
研究简史
草铵膦是由原德国艾格福公司(后归属拜耳公司)在20世纪80年代开发成功的一种广谱触杀型灭生性除草剂。草铵膦属于膦酸类除草剂,能够抑制植物氮代谢途径中的谷氨酰胺合成酶,从而干扰植物的代谢,使植物死亡。
草铵膦具有杀草谱广、低毒、活性高和环境相容性好等特点,其发挥活性作用的速度比百草枯慢而优于草甘膦。成为与草甘膦和百草枯并存的非选择性除草剂,应用前景广阔。许多杂草对草铵膦敏感,在草甘膦产生抗性的地区可以作为草甘膦的替代品使用。
物理性质
草铵膦又称草丁膦,化学名为4-[羟基(甲基)膦酰基]-DL-高丙氨酸或2-氨基-4-[羟基(甲基)膦酰基]丁酸铵,为白色结晶,有轻微气味。熔点为210°C,760 mmHg下沸点为519.1°C。易溶于水,22℃时在水中溶解度为1370g/L,在常见的有机溶剂中溶解度较低。
草铵膦具有手性,通常生产的是L型和D型的外消旋体,后续研究发现只用L-草铵膦具有除草作用,而D型则几乎无活性。若制成仅有L-草铵膦纯光学异构体的产品进行使用,可使草铵膦的用量减少一半,提高经济性、降低使用成本减轻环境压力。
制剂
草铵膦的主要剂型为溶液剂(水剂),国外报道的草铵膦制剂有60、120、150和200g/L四种规格的水剂,商品名为Basta。国内现有的加工制剂中,按草铵膦含量可分为6%、12%、13.5%、15%和20%五种水剂。以13.5%的草铵膦水剂为例,其配方是13.5%草铵膦、5%Silwet618、10%硫酸铵、0.5%聚乙烯醇、0.2%消泡剂SAG622,最后加水至100%。
作用机制
草铵膦被喷洒到植物体上时,能够迅速通过茎叶被吸收入体内,并依赖植物蒸腾作用在木质部进行传导。但其接触土壤后会被土壤中的微生物迅速分解而失效,因此根部对草铵膦的吸收很少甚至几乎不吸收。
草铵膦作用与谷氨酰胺合成酶(glutamine synthetase,GS)有关,这种酶在植物的氮代谢过程中催化谷氨酸与铵离子合成谷氨酰胺。而当草铵膦进入植物体内后,能与ATP相结合并占据谷氨酰胺合成酶的反应位点,从而不可逆地抑制谷氨酰胺合成酶的活性并破坏之后的一系列代谢过程。

植物中的氮代谢途径
谷氨酰胺合成酶受到抑制后,谷氨酰胺的合成受阻,继而植物体内氮代谢发生紊乱,蛋白质和核苷酸等物质的合成减少,光合作用受阻,叶绿素合成减少。同时细胞内铵离子的含量增加,使得细胞膜遭到破坏,叶绿体解体。最终导致植物全株枯死。
草铵膦杀草速度快,受药杂草2~6小时内光合作用便开始受阻,1天内停止生长,2~3天出现失绿、坏死等症状,1~2周内全株枯死。同时,草铵膦的作用能够持续25~45天,控草时间长于其他除草剂。
环境影响
1、降解与残留
草铵膦在土壤中能通过微生物降解而迅速失效,产生3-(甲基磷酸亚基)丙酸(MPP)和2-(甲基磷酸亚基)乙酸(MPA)并释放出二氧化碳。在大多数土壤中淋溶不超过15厘米,土壤有效水含量以土壤含氧量对草铵膦吸附与降解有一定的影响。草铵膦的降解半衰期(DT50)为4~10天。
2、对土壤影响
草铵膦对土壤中的一些微生物能够产生一定的影响。不同浓度(0、2、4、6、8L/hm2)草铵膦对麦田土壤微生物(细菌、放线菌、真菌)数量及其土壤酶(过氧化氢酶、磷酸酶、脲酶、脱氢酶)活性的影响呈现先增加后减少趋势。在草铵膦施用量为6L/hm2时,微生物总量达到最高。其中,细菌和放线菌数量较对照增加,而真菌数量变化不显著。在低浓度(2、4和6L/hm2)草铵膦处理下,被测土壤酶活性均随着草铵膦施用量的增加而增大,而在高浓度(8L/hm2)草铵膦处理下,酶活性均受到抑制。
3、对水环境影响
由于草铵膦在水中的溶解性极好,而在水环境中水解和光解过程均较为缓慢,同时也容易在环境介质中流动转移,美国环境保护署已将其归属于流动持久性污染物。水生生物急性毒性试验结果表明,草铵膦对小球藻、大型溞和斑马鱼的半数有效浓度(EC50)或半数致死浓度(LC50)均大于100mg/L,属于低毒化合物。因此,短期内草铵膦不会对水生态系统平衡产生明显影响,而在水中长期存在时对水生生物的繁殖和后代生长的影响则有待于进一步的研究。
4、动物毒性
草铵膦对植物以外的其他生物毒性较小,安全性高。草铵膦在动物体内吸收很少且能被迅速清除,经口染毒时80%~90%不能被吸收,而吸收的部分主要集中在肝脏和肾脏。急性毒性实验证明:雄大鼠草铵膦急性经口的半数致死剂量(LD50)为2000mg/kg,雌大鼠为1620mg/kg;雄小鼠急性经口LD50431mg/kg,雌小鼠为416mg/kg;狗急性经口LD50200~400mg/kg。雄大鼠急性经皮LD50>2000mg/kg,雌大鼠为4000mg/kg。因此按照急性毒性分级标准,草铵膦属于低毒或中等毒。慢性毒性实验证明:草铵膦无致癌作用,也不具有生殖毒性和致畸作用,遗传毒性、免疫毒性等也不存在。
草铵膦在进入动物体内后也能发挥抑制谷氨酰胺合成酶的作用,但低剂量时不表现出强烈的症状。而若大剂量摄入草铵膦,则脑内谷氨酰胺合成酶会受到较多的抑制,产生主要以神经系统的表现为主的中毒症状:嗜睡、异常体态、体毛竖起、易激惹、震颤、抽搐、癫痫、流涎、共济失调等。
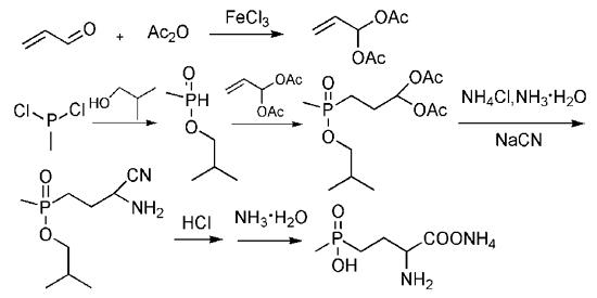
合成方法
盖布瑞尔(Gabriel)-丙二酸二乙酯合成法
以甲基亚磷酸二乙酯为起始原料,连接溴乙基后再与丙二酸二乙酯进行缩合,脱羧取代后得到草铵膦。条件比较温和,不需要苛刻的反应温度,但要用到1,2-二溴乙烷、液溴等物质,成本较高,总收率较低(10%~15%),是一种早期合成草铵膦的方法。

斯垂克(Strecker)法
以甲基二氯化磷与异丁醇为起始原料,得到比较稳定的甲基次膦酸异丁酯,再与1,1-二乙酰氧基-2-丙烯在紫外光照射下经过自由基反应得到3,3-(二乙酰氧基)丙基甲基次膦酸异丁酯,然后经Strecker反应,进一步水解铵化得到目标产物草铵膦,文献报道总收率61.7%(以甲基二氯化磷计)。

斯垂克(Strecker)法
应用范围
由于草铵膦具有杀草谱广、在土壤中迅速失活降解、对非靶标生物低毒的特性,可以通过转基因技术使作物对草铵膦产生抗性,从而使草铵膦能够选择性地杀死杂草而不危害作物。艾格福公司的研究人员分别从吸水链霉菌的菌株中分离得到bar基因和绿色产色链霉菌的菌株分离得到pat基因。这两个基因具有80%的同源性,都能够编码草铵膦乙酰化酶,这种酶能使草铵膦乙酰化而失活。在作物中转入这两个抗性基因,便能使作物表达草铵膦乙酰化酶,使进入作物体内的草铵膦失活,降低草铵膦对作物的危害。
草铵膦的抗性基因已经被导入了水稻、小麦、玉米、甜菜、烟草、大豆、棉花、马铃薯、番茄、油菜、甘蔗等20多种作物中,已经成功商业化种植的耐草铵膦作物系列Liberty Link几乎包括了所有主要作物,拜耳作物科学、陶氏益农、孟山都均不断开发出耐草铵膦的转基因作物,给草铵膦带来广大的市场增量。
草铵膦杀草谱广,几乎对绝大多数农田一年生乃至多年生的杂草有较好的防除效果。可用于果园、葡萄园、马铃薯田、非耕地等防治一年生和多年生双子叶及禾本科杂草,如鼠尾看麦娘、马唐、稗、野生大麦、多花黑麦草、狗尾草、金狗尾草、野小麦、野玉米、鸭芽、曲芒发草、羊茅等等。也可防除藜、苋、蓼、荠、龙葵、繁缕、马齿苋、猪殃殃、苦苣菜、田蓟、田旋花、蒲公英等阔叶杂草,对莎草和蕨类植物也有一定效果。
当阔叶草在生长旺盛始期及禾本科杂草分蘖始期将0.7~1.2千克/公顷的药量喷于杂草群体上,控草期为4~6周,必要时可再次施药,可显著延长有效期。马铃薯田宜在芽前施用,亦可在收获前喷施,杀除地上残茬,便于收获。防除蕨类植物,每公顷用药量1.5~2千克。一般为单用,有时也可与西马津、敌草隆或2甲4氯等混用。