3-吖丁啶羧酸的合成方法概述
发布日期:2023/7/27 8:41:35
简介
氮杂四元环是一类非常重要的小分子杂环化合物,因其具有良好的生物活性及抗菌性能,多年来一直是生物医药、精细化工领域的研究热点,广泛应用于药物化学、生物化学以及有机合成领域。其中3-吖丁啶羧酸是其中很重要的一种氮杂四元环化合物,它是淡黄色固体有机物,是一种不可切割的ADC连接物,用于合成抗体-药物结合物(ADC),也是一种基于烷基链的PROTAC连接剂,可用于合成PROTAC。目前有报道三种合成方法。
制备方法
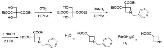
方法一:以双羟甲基丙二酸二乙酯为初始原料,经羟基活化,再与苄胺关环,经水解,催化还原得到3-吖丁啶羧酸,该路线最为常见,但是该路线所用原料较贵,成本较高。

方法二:以N-二苯甲基氮杂环丁烷-3-醇为初始原料,经MsCl活化,腈基取代后,加酸水解得到羧酸,Pd/C加氢还原苄基即可得到3-吖丁啶羧酸,但该路线起始原料不易获得,且用到剧毒化学品氰化钠,不易购买也不够安全,不适用商业化生产。

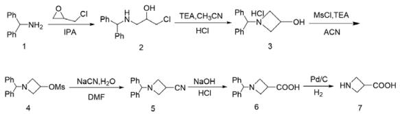
方法三:以二苯甲胺、环氧氯丙烷为起始原料,巧妙地经开环、环合2步反应得到1-二苯甲基-3-吖丁啶醇盐酸盐这个四元环结构,再经取代、水解、催化加氢还原得到目标产物,该路线所用原料便宜易得,总收率高达43.5%,产物纯度高达99.0%以上。该路线的优点在于:(1)反应路线全新且较短,起始原料 便宜易得,总收率较高;(2)在合成初期即引入芳香基团,能够有效显色,通过TLC即可监测反应进程,大大简化了中控质检工艺; (3)由于芳环的引入,增大了结构的空间位阻,降低了反应物活性, 有利于减少副反应,提高纯度。

参考文献
[1]曾鹏,冯承炘,孙宇通等.3-吖丁啶羧酸的便捷合成[J].广东化工,2019,46(23):20-22.
欢迎您浏览更多关于3-吖丁啶羧酸的相关新闻资讯信息