羟胺(盐)类化合物的应用研究
发布日期:2024/1/23 8:42:26
羟胺作为一种廉价易得的合成原料,在有机合成及其相关领域具有很大的潜在应用价值。近几十年甚至上百年针对羟胺类衍生物的有机方法学研究一直在不间断地进行,其中比较经典的反应如Weinreb酮合成反应和Beckmann重排反应。
羟胺衍生物上的取代基位置将羟胺类衍生物分为三类,如下图所示。近几年由羟胺衍生物及其氧化物参与的环加成反应,过渡金属催化的C-N、C-O交叉偶联反应以及自由基类型的反应得到了很大程度的发展及深层次的探索。

羟胺衍生物的分类
1、O-取代烷基羟胺的应用
O-取代烷基羟胺是一类用途广泛且价格昂贵的有机合成中间体,该类化合物可用作烷氧胺基化试剂,在有机合成和新药生产中引入烷氧胺基基团到酮类化合物(特别是甾族化合物),可用作药物头孢呋辛侧链及农药苯草酮、烯草酮、稀禾定等除草剂生产的中间体,也可作为新医药及新农药创制领域的中间体,该类化合物的应用举例如下。
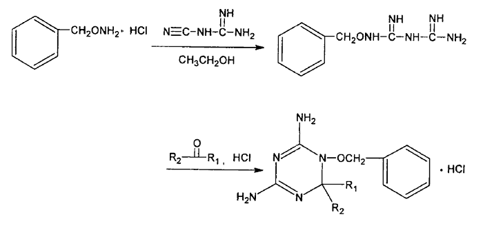
1.1 O-苄基羟胺在三嗪类化合物合成中的应用
三嗪类化合物是一类应用十分广泛的化合物,20世纪50年代以来,三嗪类化合物的开发应用早己经受到国内外学者的广泛关注,其应用领域也不断得到开拓扩展。目前,三嗪类化合物的主要应用领域有燃料工业、农用化学品工业、医药工业和石化助剂工业等,主要被用作除草剂、杀菌剂、杀虫剂、新型阻燃绝缘高聚物材料的主要原料、荧光增白剂、活性燃料、医药以及新型多功能润滑油添加剂等。
O-苄基羟胺可作为合成芳香环取代的二胺基三嗪类化合物的中间体,反应方程式如下:

1.2 O-(3-氯-2-丙烯基)羟胺在合成环己烯酮类除草剂烯草酮方面的应用
烯草酮,属于环己烯酮类茎叶除草剂,是一种高效安全,高选择性的ACCase抑制剂,对于大多数一年生和多年生的禾本科杂草有特效,对双子叶作物安全。烯草酮的结构如下:

烯草酮的合成过程以乙硫醇和丁烯醛为起始原料,经加成、环化、水解脱羧、酰基化重排、肟醚化等6步反应合成烯草酮。O-(3-氯-2-丙烯基)羟胺作为合成烯草酮的中间体,反应方程式如下,在肟醚化反应中,O-(3-氯-2-丙烯基)羟胺与(a)反应生成烯草酮。

1.3 O-烯丙基羟胺在合成6,7-二氢-5H-环戊烷并[b]吡啶中的应用
6,7-二氢-5H-环戊烷并[b]吡啶是一种日益受到重视的医药中间体。其化学结构式为:
![6,7-二氢-5H-环戊烷并[b]吡啶 6,7-二氢-5H-环戊烷并[b]吡啶](/NewsImg/2024-01-23/6384159606806040937010735.png)
它具有抗溃疡、抗癌等重要生理活性,主要用于药物,杀菌剂和抗菌剂的研究,也被广泛用于制备植物保护剂和合成树脂、防老剂以及塑料制品等。
6,7-二氢-5H-环戊烷并[b]吡啶的合成以环戊酮为原料与O-烯丙基羟胺盐酸盐在氨水作用,再以苯为溶剂将中间体置于试管中并通入氢气,密封加热即可得到目标化合物,化学反应方程式如下:
![6,7-二氢-5H-环戊烷并[b]吡啶的合成 6,7-二氢-5H-环戊烷并[b]吡啶的合成](/NewsImg/2024-01-23/6384159607701358214546194.png)
此外,O-烯丙基羟胺还可作为合成环己烯酮类除草剂禾草灭的重要中间体,O-乙基羟胺在稀禾定、噻草酮的合成中也是不可缺少的。
2. N-取代烷基羟胺参与的反应
主要包括:1.基于氮氧键断裂的烯径及炔烃的马氏或反马氏氢胺化;2.基于氮氧键断裂过渡金属催化的亲电胺化反应;3.过渡金属催化的杂环构建;4.作为交叉偶联反应的导向基团参与的反应;5.基于氮氧键断裂产生的自由基参与的反应。
综上,取代羟胺盐作为一种重要药物中间体和有机合成中间体, 有着很高的商业价值。目前该类化合物国内除了有少量高价的进口试剂供应外, 只有少数厂家生产较简单的烷氧基胺盐酸盐, 如甲氧基胺盐酸盐及乙氧基胺盐酸盐等。探索操作简单且产品纯度高的合成方法将成为人们关注的热点。
欢迎您浏览更多关于羟胺的相关新闻资讯信息