肌氨酸乙酯盐酸盐的应用
发布日期:2024/2/26 9:11:34
介绍
肌氨酸乙酯盐酸盐(Ethyl sarcosinate hydrochloride),分子式C5H12ClNO2,对水体有危害。外观为白色针状结晶或粉末。

图一 肌氨酸乙酯盐酸盐
应用
合成氟马西尼
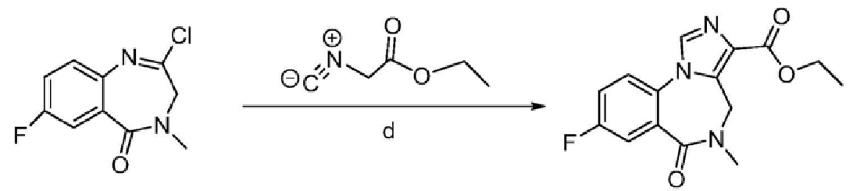
称取5‑氟‑2‑硝基苯甲酸(1.0g,5.4mmol,CAS No.320‑98‑9;安耐吉化学)、1‑乙 基‑(3‑二甲基氨基丙基)碳酰二亚胺盐酸盐(1.2g,6.5mmol;EDCI,CAS No.:25952‑53‑8,安 耐吉化学)、1‑羟基苯并三唑(0.87g,6.5mmol;CAS No:2592‑95‑2,安耐吉化学)置于反应瓶 (100mL),加入二氯甲烷(20mL)搅拌溶解,室温活化30min;另分别称取肌氨酸甲酯盐酸盐 (0.75g,5.4mmol,CAS No.13515‑93‑0,安耐吉化学)、三乙胺(1.0g,10.8mmol,国药集团)溶 于二氯甲烷(10mL)后,依次加入到反应瓶中,室温反应12h。以水/二氯甲烷(v:v=1:1,50ml×2)淬灭反应液,合并有机相,以无水硫酸 钠干燥后减压浓缩得棕色黄色油状物a;将a经硅胶柱层析,以二氯甲烷/乙酸乙酯(v:v=8: 1)为洗脱液,分得淡黄色油状物b;将油状物b溶于乙酸乙酯/石油醚(4mL,v:v=1:3,)混合 溶液,超声处理30min,有大量后固体析出,抽滤,得淡黄色固体约1.1g,收率为85.4%。称取7‑氟‑3,4‑二氢‑4‑甲基‑1H‑[1,4]苯并二氮卓‑2,5‑二酮(2.0g,9.6mmol)、五 氯化磷(2.4g,11.5mmol)置于反应瓶(50mL),加入N,N‑二甲基甲酰胺(0.2mL)和四氢呋喃 (20mL),70℃回流5h。反应液旋转蒸发浓缩近干,得糖浆状物,称重2.15g,收率为95%,称取碳酸铯(4.7g,14mmol)置于反应瓶(50mL),加入四氢呋喃(20mL)搅拌使溶解, 再加入异氰基乙酸乙酯(1.3g,11.5mmol;CAS No 2999‑46‑4)。冰水浴使体系温度降至0℃。 将步骤(3)所得2.15g糖浆状物溶于四氢呋喃(10mL),滴加入反应瓶,30分钟加入完毕,然后 室温反应4h。减压浓缩得棕色油状物,将此油状物以乙腈溶解,经0.24um滤膜过滤处理后高效液相法分析,收率为30.5%[1]。

图二 肌氨酸乙酯盐酸盐制备氟马西尼
参考文献
[1]何新华,张学敏,周涛等. 一种氟马西尼的制备方法[P]. 浙江省:CN112979658B,2022-05-31.
欢迎您浏览更多关于肌氨酸乙酯盐酸盐的相关新闻资讯信息