3,4,7,8-四甲基-1,10-菲罗啉的结构特性与应用
发布日期:2024/8/26 9:22:19
3,4,7,8-四甲基-1,10-菲罗啉是一种常见的多取代1,10-菲罗啉类物质,常温常压下为白色至类白色固体,具有显著的碱性和较好的化学稳定性,难溶于水但是可溶于大部分有机溶剂例如乙酸乙酯,四氢呋喃等。3,4,7,8-四甲基-1,10-菲罗啉在有机合成领域中主要用作双齿氮配体,它可与多种过渡金属离子发生配位络合作用,可用于催化多种有机转化反应,在金属有机化学研究领域中有较好的应用。
结构特性
3,4,7,8-四甲基-1,10-菲罗啉结构中含有两个可配位的氮原子,该氮原子上含有一对活性孤对电子,它可高效地与多种金属离子发生络合。此外,该物质结构中的氮原子具有一定的亲核性,它可在碱性条件下和烷基溴化物等发生亲核取代反应得到相应的氮季铵盐衍生物。
络合金属离子

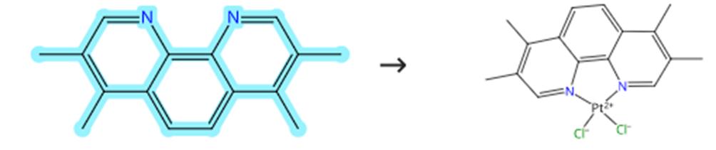
图 1 3,4,7,8-四甲基-1,10-菲罗啉络合金属铂离子
在一个干燥的反应烧瓶中将四氯铂酸钾(0.208 g, 0.500 mmol)溶于15 mL水中,然后往上述反应混合物中缓慢地加入0.500 mmol 3,4,7,8-四甲基-1,10-菲罗啉,并用1.0 mL 4 MHCl酸化。然后将所得的反应混合物加热至回流并将其加热反应大约2小时。反应结束后将反应混合物直接通过过滤获得黄色沉淀物,所得的黄色沉淀物用水进行冲洗,然后用少量甲醇和乙醚清洗。将所得的沉淀产物在室温下真空干燥24小时即可得到目标产物分子3,4,7,8-四甲基-1,10-菲罗啉二氯铂(II)。[1]
化学应用
3,4,7,8-四甲基-1,10-菲罗啉主要用作双齿氮配体,在催化有机反应中具有重要应用,其能够与多种过渡金属离子形成稳定的金属配合物进而催化各种有机转化反应。例如在交叉偶联反应、加氢反应和环化反应等过程中,3,4,7,8-四甲基-1,10-菲罗啉配合物能够提高反应的选择性和效率。
参考文献
[1] Egan, Timothy J.; et al,Journal of Medicinal Chemistry,2004,47,2926-2934.
欢迎您浏览更多关于3,4,7,8-四甲基-1,10-菲罗啉的相关新闻资讯信息