高纯度制备硫辛酸杂质A的方法
发布日期:2025/4/28 15:00:07
背景技术
α‑硫辛酸是一种能消除加速老化和致病的自由基、类似维他命的化合物,兼具水溶性和脂溶性的特性,可协助辅酶进行有利于机体免疫力的生理代谢,是一种万能抗氧化剂药物。α‑硫辛酸原料药生产过程中的质量控制至关重要,其中杂质研究和控制又是重中之重,直接关系到α‑硫辛酸作为药品的药效和安全性。α‑硫辛酸原料药主要的工艺杂质之一是硫辛酸杂质A,具有三硫环结构。
CN107652264A和CN111320603A分别公开了硫辛酸杂质A的制备方法,其均为以硫辛酸合成路线中的二氯中间体为原料,通过与原料药合成的同样路线制备得到,硫辛酸杂质A从反应混合物中分离纯化不容易,收率较低。因此,本文介绍以一种高收率高纯度制备得到硫辛酸杂质A的方法。
制备方法
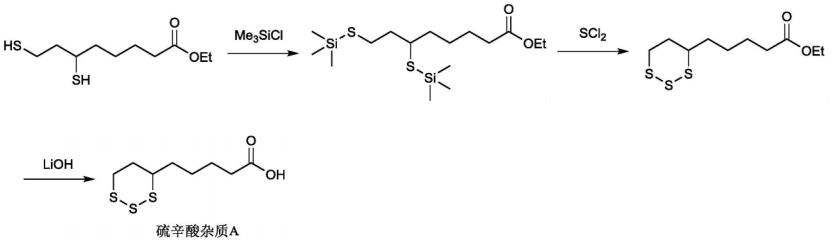
(1)制备6,8‑二[(三甲基硅基)硫代]辛酸乙酯:6,8‑二巯基辛酸乙酯(10g,0.042mol)、三乙胺(15g,0.15mol)溶于二氯甲烷(400mL)中,冰浴冷却降温至0℃,滴加三甲基氯硅烷(12g,0.11mol),升温至20℃反应12小时,滴加冰水淬灭反应,减压浓缩除去有机溶剂,加入二氯甲烷萃取,滴加稀盐酸中和至pH=7,分出有机相,食盐水洗,无水硫酸钠干燥,减压旋蒸至干,经乙酸乙酯‑正己烷混合溶剂重结晶,真空干燥,得到6,8‑二[(三甲基硅基)硫代]辛酸乙酯(13g),收率81%;
(2)制备1,2,3‑三硫环己烷‑4‑戊酸乙酯:6,8‑二[(三甲基硅基)硫代]辛酸乙酯(13g,0.034mol)溶于四氢呋喃(150mL),冰浴冷却降温至0℃,缓慢滴加二氯化硫(3.6g,0.035mol)的四氢呋喃(20mL)溶液,室温下搅拌30分钟,升温至20℃反应24小时,减压浓缩除去有机溶剂,加入二氯甲烷萃取,食盐水洗,无水硫酸钠干燥,减压旋蒸至干,粗品经经层析柱纯化,得到1,2,3‑三硫环己烷‑4‑戊酸乙酯(8g),收率88%;
(3)制备硫辛酸杂质A:1,2,3‑三硫环己烷‑4‑戊酸乙酯(8g,0.030mol)、氢氧化锂(1.5g,0.063mol)、乙醇(20mL)和水(20mL)混合,搅拌,保温15℃反应6小时,减压旋蒸除去有机溶剂,冰浴冷却至0℃,滴加1N盐酸至pH=2~3,抽滤,干燥,得硫辛酸杂质A(6g),收率84%。

参考文献
[1]苏州富士莱医药股份有限公司. 一种硫辛酸杂质A的制备方法:CN202310098192.3[P]. 2024-08-13.
欢迎您浏览更多关于硫辛酸杂质A的相关新闻资讯信息