3,5-二羟基苯甲醇的合成与应用
发布日期:2026/2/6 10:08:31
概述
3,5-二羟基苯甲醇(3,5-Dihydroxybenzyl Alcohol)是一种分子式为C7H8O3,分子量为140.14的苯甲醇衍生物,外观为无色结晶或结晶状粉末,熔点182~186℃,溶于水,溶于乙醇[1]。该物质不仅是制备假密环菌甲素博尼康里、溴莫普林等药物的重要中间体,也是一种用途较广的有机合成原料(如制备3,5-二羟基苯甲醛,3,5-二羟基苯乙酮等)[2]。

合成方法
以3,5-二羟基苯甲酸为原料,经酯化、酰化、四氢铝锂还原等改进步骤可以实现3,5-二羟基苯甲醇的合成[2-3],具体步骤如下:
①将3,5-二羟基苯甲酸与醇在硫酸作为催化剂的条件下进行酯化反应得到3,5-二羟基苯甲酸酯;
②将3,5-二羟基苯甲酸酯溶解在有机溶剂中,得到3,5-二羟基苯甲酸酯的有机溶液;
③将路易斯酸和硼氢化物先后或同时加入到与步骤②中相同的有机溶剂中,并使之溶解,滴加步骤②得到的3,5-二羟基苯甲酸酯的有机溶液进行还原反应得到3,5-二羟基苯甲醇。该发明的方法工艺简单,成本较低,无环境污染,适于工业化生产[3]。
应用
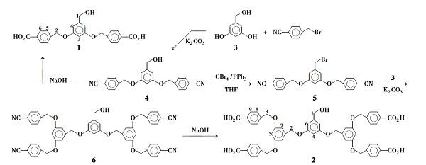
有机合成领域,以3,5-二羟基苯甲醇为起始原料,经甲基化,溴代,Arbuzov重排,Wittig Horner缩合,脱甲基5步反应可以合成白藜芦醇,总收率21%。该合成路线反应步骤少,操作简便,生成反式目标产物的选择性高[4]。此外,采用收敛法,以对氰基苄溴和3,5-二羟基苯甲醇(3)为原料,依次合 成端基为腈基的芳醚树枝状分子3,5-二(4-腈基苯甲氧基)苯甲醇(4)和3,5-二[3,5-二(4-腈基苯甲氧基)苯甲氧基]苯甲醇(6);4与6分别经水解可以制得以羧基为端基的新型芳基苄醚树枝状分子3,5-二(4-羧基苯甲氧基)苯甲醇(1)和3,5-二[3,5-二(4-羧基苯甲氧基)苯甲氧基]苯 甲醇(2)[5]。

材料化学领域还公开了一种含支化结构的弱酸性阳离子交换树脂的制备方法,主要步骤为:以3,5-二羟基苯甲醇为支化原料,以甲基丙烯酸分子为骨架单体,以二乙烯基苯为交联剂,在偶氮类引发剂作用下悬浮聚合即得目标产物。最终得到的含支化结构的弱酸性阳离子交换树脂具有孔径分布均匀,比表面积大,交换容量高且离子交换效率高的特点,在废水处理、水质软化、稀有金属元素回收、食品脱色脱盐和氨基酸提取等方面具有巨大的应用潜力[6]。
参考文献
[1]付春.3,5-二羟基苯甲醇[J].精细与专用化学品, 2001, 9(18):1.DOI:10.3969/j.issn.1008-1100.2001.18.011.
[2]李玉玲,方和琳,曾卫刚.3,5-二羟基苯甲醇合成工艺研究[J].贵州化工, 2001.DOI:CNKI:SUN:GZHG.0.2001-01-006.
[3]杨润苗,陈金良,刘玉海.3,5-二羟基苯甲醇的制备方法:CN200810172449.0[P].
[4]王世盛,赵伟杰,刘志广,等.白藜芦醇的化学合成研究[J].中国药物化学杂志, 2004, 14(2):91-93.DOI:10.3969/j.issn.1005-0108.2004.02.006.
[5]刘静,彭亦如,张宏,等.新型树枝状分子3,5-二[3,5-二(4-羧基苯甲氧基)苯甲氧基]苯甲醇的合成[J].合成化学, 2012, 20(1):4.DOI:10.3969/j.issn.1005-1511.2012.01.013.
[6]王章忠,卜小海,杭祖圣,等.一种含支化结构的弱酸性阳离子交换树脂及其制备方法:CN201610857408.X[P].
欢迎您浏览更多关于3,5-二羟基苯甲醇的相关新闻资讯信息