4-氯-2-氟苯甲酸的合成与有机反应
发布日期:2026/2/25 15:13:03
4-氯-2-氟苯甲酸为白色至类白色结晶性粉末有机物,不溶于水,易溶于有机溶剂(如乙醇、乙酸乙酯、二氯甲烷),具有羧酸的典型酸性,可与碱成盐。4-氯-2-氟苯甲酸是医药、农药领域的关键中间体。用于合成杀菌剂、ATX抑制剂、NHE3抑制剂、NMDA受体拮抗剂;也用于新型除草剂、液晶材料的合成。
合成方法
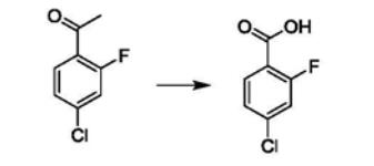
2-氟-4-氯苯乙酮25g(144.9mmol,1.0eq),Cu(NO3)2·4H2O 7.0g(29.0mmol,0.2eq),乙腈250mL(10V),将反应盘管外浴温度升至180℃,用氧气调节盘管压力2.5MPa,进而开始打料,体系停留时间1.5h,氧气3~5eq。将体系直接泵入375mL纯化水中,用NaOH固体将体系pH调至12~14,用125mL MTBE萃取水相两次,水相再用浓HCl调pH至1,有大量固体析出,过滤得到目标产品4-氯-2-氟苯甲酸19.3g,收率77%。1H NMR(500MHz,氯仿):δ8.08(dd,J=7.5,5.0Hz,1H),7.90(dd,J=8.0,1.5Hz,1H),7.43(dd,J=7.5,1.4Hz,1H)[1]。

有机反应
1、向反应瓶中加入120毫升氯磺酸和30克氯化铵,分批加入50克4-氯-2-氟苯甲酸,然后 先升温至100℃反应1小时,再升温至160℃反应1小时,实现分阶段加热推动反应进行,从而有效抑制异构体杂质的产生。反应结束后,用冰盐冷却反应液,控制温度在20℃以下,慢慢滴加500毫升冷水萃灭反应,抽滤,所得滤饼用冰水洗涤。向所得滤饼中加入120克碳酸铵,不间断研磨2小时,放置过夜,加入200毫升水搅拌,用盐酸酸化至pH为2~3,冷却析晶,抽滤,水洗,固体使用体积比为10:1的乙醇-水混合液进行重结晶2次,干燥得55.2克产品,收率为76%,熔点为240~242℃,液相纯度为98.6%[2]。

2、2-((1-苄基-1H-1,2,3-三唑-5-基)氨基)-5-氯苯甲酸的制备:将1-苄基-1H-1,2,3-三唑-5-胺5a(1.00g,5.74mmol)在THF(10mL)中的溶液冷却至-78℃。滴加LiHMDS(14.35mL,在THF中1M,14.35mmol)。当加入完成时,加入在THF(5mL)中的4-氯-2-氟-苯甲酸(1.00g,5.74mmol),并在-78℃下搅拌该混合物10分钟,使其升温至室温,然后在100℃下加热20小时。然后,用水(10mL)处理该混合物并浓缩。将残余物分配在EtOAc和1M HCl之间,干燥有机层并浓缩,得到2-((1-苄基-1H-1,2,3-三唑-5-基)氨基)-5-氯苯甲酸(1.89g,定量)[3]。

参考文献
[1] 吉林凯莱英医药化学有限公司. 取代苯甲酸类有机物的连续化合成方法:CN201910518163.1[P]. 2019-09-10.
[2] 苏州华道生物药业股份有限公司. 一种阿佐塞米中间体的合成方法:CN202010535768.4[P]. 2020-09-22.
[3] 沃泰克斯药物股份有限公司. 用作吲哚胺2,3-二氧化酶的抑制剂的化合物:CN201380067409.9[P]. 2015-09-02.
欢迎您浏览更多关于4-氯-2-氟苯甲酸的相关新闻资讯信息