棕榈酰三肽 38的一种制备方法
发布日期:2026/3/15 8:00:57
背景技术
棕榈酰三肽 38(Palmitoyl tripeptide‑38)是一种由三个氨基酸组成的双氧化脂肽,其氨基酸序列为Pal‑Lys‑Met(O2)‑Lys‑OH。

据报道,棕榈酰三肽 38可以促进胶原蛋白Ⅰ、Ⅲ、Ⅳ、纤维连接蛋白、透明质酸和层粘蛋白等六种构成皮肤的基质和真表皮连接组织主要成分的合成,因此它能从内部重建肌肤,使皱纹平滑皮肤得到舒缓,尤其对额间纹,鱼尾纹,抬头纹和颈纹非常有效。它可以改善 皮肤质量,维持皮肤高保湿性,柔软富有弹性。此外,它还可以深层补充营养,淡化唇纹并增加弹性。由于它的特殊性能和积极作用,有望成为我们生活中抗皱和抗衰老的流行化妆品材料。
目前国内外尚未有专利和文献报道棕榈酰三肽 38的制备方法。因此,需要开发一种安全、高效、可工业化生产的合成棕榈酰三肽 38的方法。
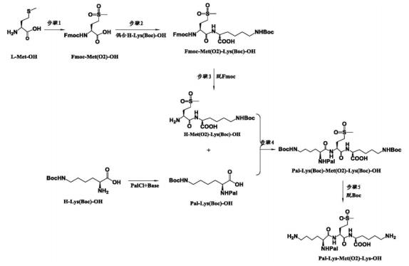
制备方法[1]
步骤1:使L‑Met‑OH与FmocOSu和第一碱反应,得到Fmoc‑Met‑OH,然后在氧化剂和催化剂的存在下,得到Fmoc‑Met(O2)‑OH;
步骤2:使Fmoc‑Met(O2)‑OH与H‑Lys(Boc)‑OH发生缩合反应,以得到Fmoc‑Met(O2)‑Lys(Boc)‑OH;
步骤3:使Fmoc‑Met(O2)‑Lys(Boc)‑OH发生脱Fmoc保护基反应,以得到H‑Met(O2)‑Lys(Boc)‑OH;
步骤4:使Pal‑Lys(Boc)‑OH与H‑Met(O2)‑Lys(Boc)‑OH发生缩合反应,以得到Pal‑Lys(Boc)‑Met(O2)‑Lys(Boc)‑OH;
步骤5:使Pal‑Lys(Boc)‑Met(O2)‑Lys(Boc)‑OH脱Boc保护基,以得到Pal‑Lys‑Met(O2)‑Lys‑OH,即棕榈酰三肽 38。具体实施例中,在氮气保护下,向2L反应瓶中依次加入920mL四氢呋喃,46克Pal‑Lys(Boc)‑Met(O2)‑Lys(Boc)‑OH,52mL水和57.5克工业级浓盐酸,反应体系在20~25℃搅拌4小时。HPLC检测反应完全后,过滤悬浊液得到湿滤饼。滤饼用100mL四氢呋喃洗涤,然后在50~55℃真空干燥,得到35克白色固体棕榈酰三肽 38,纯度98.9%,收率88%,总收率为52%。

参考文献
[1] 富乐马鸿凯(大连)医药有限公司. 一种制备棕榈酰三肽-38的方法:CN202311405281.4[P]. 2024-02-06.
欢迎您浏览更多关于棕榈酰三肽 38的相关新闻资讯信息