5-溴-3-氟-2-硝基吡啶的合成与反应案例
发布日期:2026/4/15 8:02:51
5-溴-3-氟-2-硝基吡啶英文名5-Bromo-3-fluoro-2-nitropyridine,CAS号:1868-84-4,白色至淡黄色结晶固体,溶于DCM、CHCl₃、EA、THF、DMF,不溶于水,常温较稳定。5-溴-3-氟-2-硝基吡啶主要用于合成激酶抑制剂、GPCR 配体、抗菌/抗病毒化合物,是构建多取代氟代硝基吡啶衍生物的关键砌块。
合成方法[1]
步骤一、5-溴-3-氟吡啶-2-胺的合成
在0℃下,向3-氟吡啶-2-胺(11.0g,98.0mmol)的ACN(300mL)溶液中加入NBS(8.72g,49.0mmol),常温下搅拌1小时。再逐滴加入NBS (8.72g,49.0mmol)。反应混合物浓缩后用水(100mL)稀释。用硅藻土过滤。滤饼用水洗涤,滤液浓缩得到标题化合物5-溴-3-氟吡啶-2-胺粗品。MS-ESI(m/z):191[M+1]+。
步骤二、5-溴-3-氟-2-硝基吡啶的合成
在0℃下,向5-溴-3-氟吡啶-2-胺(4.0g,21.0mmol)的浓硫酸(20mL)混合物中加入H2O2(33mL,29.1mmol)的浓硫酸(66mL)溶液。混合物升高到室温搅拌过夜。在0℃下用碳酸钠稀溶液碱化至pH为7,乙酸乙酯萃取。有机层依次用Na2S2O3水溶液和饱和食盐水洗涤,Na2SO4干燥。过滤并浓缩,残留物用硅胶柱层析纯化(洗脱剂:石油醚/乙酸乙酯=40:1),得到标题化合物5-溴-3-氟-2-硝基吡啶。MS-ESI(m/z):220[M+1]+。
反应实例
4-[(5-溴-2-硝基-3-吡啶基)氨基]哌啶-1-甲酸叔丁酯:向5-溴-3-氟-2-硝基吡啶(500mg,2.26mmol)在乙醇(15mL)中的溶液中添加三乙胺(950uL,6.82mmol),随后添加4-氨基-1-Boc-哌啶(545mg,2.72mmol)。然后将所得反应混合物在90°C下搅拌75分钟,然后冷却至室温并且真空浓缩。然后将所得残余物稀释在50mL的乙酸乙酯中,用NH4Cl的饱和水溶液洗涤。然后将水层用乙酸乙酯(2X25mL)萃取两次。将有机层合并,经Na2SO4干燥,过滤,并且真空浓缩以得到908mg(100%产率)的呈黄色固体的4-[(5-溴-2-硝基-3-吡啶基)氨基]哌啶-1-甲酸叔丁酯[2]。

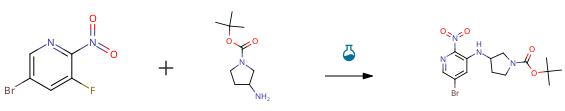
室温下,向溶解有5‑溴‑3‑氟‑2‑硝基吡啶(500mg)的乙腈溶液(20mL)中加入3‑氨基吡咯烷‑1‑甲酸叔丁酯(505mg)和碳酸钾(624mg)。上述混合物在室温下搅拌2小时,直至反应完全。反应完成后,向上述混合物中加入乙酸乙酯。所得混合物用水和饱和食盐水洗涤,经无水硫酸钠干燥后移除溶剂。残留物经柱层析纯化得到中间体1(830mg)为黄色固体。LCMS(ES,m/z):387 ,389[M+H]+[3]。

参考文献
[1] 上海复尚慧创医药研究有限公司,重庆复创医药研究有限公司. 一类激酶抑制剂:CN201780010075.X[P]. 2018-09-28.
[2] 赛诺菲. 吡啶并咪唑酮化合物、其制备及其治疗用途:CN202480027837.7[P]. 2025-12-02.
[3] 北京康辰药业股份有限公司. 稠合杂环化合物、药物组合物及其应用:CN202411675083.4[P]. 2025-05-23.
欢迎您浏览更多关于5-溴-3-氟-2-硝基吡啶的相关新闻资讯信息