5-甲基-1-茚酮的制备
5-甲基-1-茚酮是一种2,3-二氢-1-茚酮。2,3-二氢-1-茚酮是一种结构简单、用途广泛的重要化工原料,是合成多种医药、农药的重要中间体。各种结构不同的茚酮类结构广泛存在于从植物以及海洋生物中分离出来的天然产物中。许多含茚酮结构的化合物表现出了各种生理药理活性,包括抗肿瘤活性,抑制乙酰胆碱酯酶(acetylcholinesterase)活性,如著名的Donepezil(Aricept)对Al
2020-07-30
推荐新闻
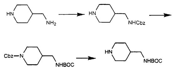
4-Boc-氨甲基哌啶的一种制备方法
2026/04/10
2,4,6-三氯-5-嘧啶甲醛的合成与应用
2026/04/10
正丙基乙烯基醚在阳离子聚合与功能高分子构筑中的研究进展
2026/04/10
合成5-硝基-2,3-二氯吡啶的下游产品
2026/04/10
啶氧聚酯中间体——2-羟基-6-三氟甲基吡啶
2026/04/10
5-氨基酮戊酸甲酯盐酸盐的一种制备方法
2026/04/09
最新发布
胶原蛋白
2026/04/10
海藻糖有何作用与功效?对人体有害吗?
2026/04/10
葡萄籽提取物有什么功效?副作用有哪些?
2026/04/10
精异丙甲草胺的使用范围与不适用作物
2026/04/10
纽甜是什么?对身体有什么危害?
2026/04/10
氯乙基异氰酸酯的应用研究
2026/04/10