网站主页 > 2,5-二溴苯硼酸频哪醇酯 > 新闻信息汇总
2,5-二溴苯硼酸频哪醇酯新闻专题
2,5-二溴苯硼酸频哪醇酯的制备
2,5-二溴苯硼酸频哪醇酯是一种有机中间体,可由2,5-二溴苯与联硼酸频哪醇酯一步制备得到。2,5-二溴苯硼酸频哪醇酯可用于Suzuki等偶联反应。
2020-08-31
推荐新闻
6,7-二甲氧基香豆素的性质与作用
2026/04/07
2,5-二氯烟酸的性质与应用
2026/04/07
嘧啶-5-硼酸嚬哪醇酯的用途及制法
2026/04/06
吡啶-3-乙酸盐酸盐的特性、应用及制备
2026/04/06
2,6-二甲基-4-羟基吡啶的用途及制法
2026/04/06
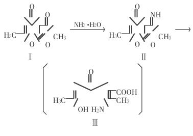
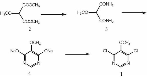
4,6-二氯-5-甲氧基嘧啶的合成及应用研究
2026/04/06
最新发布
糊精是否会致胖?
2026/04/07
酵母提取物是什么?有何作用与功效?
2026/04/07
柠檬酸的作用与功效和危害
2026/04/07
多效唑的作用与功效和使用方法
2026/04/07
代森联的制备与应用
2026/04/07
封闭山羊血清正常(原液)在免疫组化中的应用
2026/04/07