双二甲胺基乙基醚制备高分子聚合物
双二甲胺基乙基醚,英文名为Bis(2-dimethylaminoethyl) ether,常温常压下为淡黄色液体,可溶于水和常见的有机溶剂包括低极性的醚类有机溶剂。双二甲胺基乙基醚是一种叔胺衍生物,在有机合成化学中可作为高效的叔胺催化剂,可催化多种有机转化反应。在工业生产中,该物质适用于所有泡沫塑料制品的生产,其具有发泡平稳,配方易于调整等优点。
2023-05-22
推荐新闻
4-氯-6,7-二甲氧基喹唑啉的一种合成方法
2026/04/15
乙二胺四乙酸二钾的应用研究
2026/04/15
溴甲基环戊烷的分析检测与应用
2026/04/15
三苯基二氯化膦的特性、应用及制备
2026/04/15
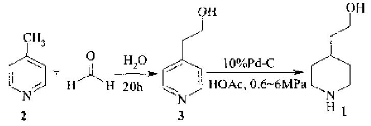
2-哌啶乙醇的特性、应用及制备
2026/04/15
乙酰丙酮锰的应用及制备工艺
2026/04/15
最新发布
鱼油粉是什么?有何作用?
14:25
脱氢乙酸被禁用了吗?为何禁用?
13:55
甜菊糖有何优势?其安全性如何?
13:21
烯啶虫胺主要杀什么虫?其毒性大吗?
11:51
杀虫环的简介及相关研究
8:03
Β-瑟林烯的简介及下游产物合成
8:03