三邻甲基苯基膦

英文名称:Tri(o-tolyl)phosphine
CAS号:6163-58-2
分子式:C21H21P
分子量:304.37
EINECS号:228-193-9
Mol文件:6163-58-2.mol
三邻甲基苯基膦 结构式

三邻甲基苯基膦 性质

熔点 123-125 °C(lit.)
沸点 412.4±44.0 °C(Predicted)
密度 1.16[at 20℃]
蒸气压 0Pa at 20℃
闪点 198°C (388°F)
储存条件 Store below +30°C.
溶解度 可溶于氯仿、乙酸乙酯
形态 结晶粉末
颜色 白色
水溶解性 Soluble in alcohol. Slightly soluble in cold water. Insoluble in water.
敏感性 air sensitive
水解敏感性 7: reacts slowly with moisture/water
BRN 661212
InChI 1S/C21H21P/c1-16-10-4-7-13-19(16)22(20-14-8-5-11-17(20)2)21-15-9-6-12-18(21)3/h4-15H,1-3H3
InChIKey COIOYMYWGDAQPM-UHFFFAOYSA-N
SMILES Cc1ccccc1P(c2ccccc2C)c3ccccc3C
LogP 7.2
CAS 数据库 6163-58-2(CAS DataBase Reference)
NIST化学物质信息 Phosphine, tris(2-methylphenyl)-(6163-58-2)
EPA化学物质信息 Phosphine, tris(2-methylphenyl)- (6163-58-2)

三邻甲基苯基膦 用途与合成方法

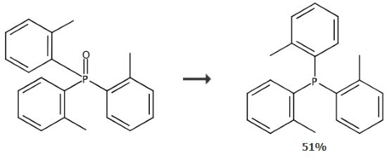
三(邻甲苯)膦可作为配体,用于偶联反应中。三(邻甲苯)膦可由三邻甲苯基氧化膦还原得到或者通过邻溴甲苯通过格氏反应制备得到。 三(邻甲基苯基)磷是磷催化剂。 它可用于铑催化的氢化反应,Suzuki-Miyaura交叉偶联反应和Heck反应。

在反应器中,在无水氩气下,将三邻甲苯基氧化膦(32.0 mg,0.1 mmol,1.0 eq)和草酰氯(0.15 mmol,1.5eq。)在氯仿-d1(1 ml)中混合。向反应器中充入80 bar的H2。将混合物加热到130°C持续18小时。减压除去溶剂。通过硅胶色谱法(环己烷)纯化残余物,获得三(邻甲苯)膦。

6163-58-2的合成

化学性质 
白色晶体
用途 
作为配体,用于偶联反应中
用途 
Heck反应催化剂,有机中间体。
用途 
用于钌催化下醇直接胺化的配体
用途 
配体,用于钌催化的醇的氨基化反应。

安全信息

危险品标志Xi
危险类别码36/37/38
安全说明26-36-37/39
WGK Germany3
F10-23
TSCATSCA listed
海关编码29319090
存储类别11 - 可燃固体

MSDS信息

语言:English
提供商:ACROS
语言:English
提供商:SigmaAldrich
语言:Chinese
提供商:ALFA
语言:English
提供商:ALFA

三邻甲基苯基膦 价格(试剂级)

更新日期 产品编号 产品名称 CAS号 包装 价格
2026-03-03 A12093 三(邻甲苯)膦, 98+% 6163-58-2 25g 2584
2026-03-03 42232 三(邻甲苯)膦 6163-58-2 5g 1323

三邻甲基苯基膦供应商 更多

北京百灵威科技有限公司
联系电话:18210857532; 18210857532
产品介绍:
中文名称:三(邻甲苯基)膦
英文名称:Tri-o-tolylphosphine, 97%
CAS:6163-58-2
品牌:百灵威 | 产品编号:102357 | Purity:97%
上海吉至生化科技有限公司
联系电话:021-4009004166/18616739031 18616739031
产品介绍:
中文名称:三(邻甲苯基)膦
CAS:6163-58-2
品牌:Acmec | 产品编号:T72170 | Purity:98%
上海笛柏生物科技有限公司
联系电话:400-008-9730,021-54359730 400-008-9730
产品介绍:
中文名称:三(邻甲苯基)膦
CAS:6163-58-2
品牌:D&B | 产品编号:K515032 | Purity:≥98%
上海颖心实验室设备有限公司
联系电话:021-59178156 17002132182
产品介绍:
中文名称:三(邻甲苯基)膦
CAS:6163-58-2
品牌:颖心实验室 | 产品编号:TX83483-25g | Purity:98%
韶远科技(上海)有限公司
联系电话:021-50795510 4000665055
产品介绍:
中文名称:三(邻甲苯基)膦
英文名称:Tri(o-tolyl)phosphine
CAS:6163-58-2
品牌:韶远 | 产品编号:SY009848 | Purity:≥98%

三邻甲基苯基膦价格

8月3日 三(邻甲基苯基)磷最新价格 8月3日 三(邻甲基苯基)磷厂家最新报价:23000元/吨。 2025-08-04 08:38:34
7月29日 三(邻甲基苯基)磷最新价格 7月29日 三(邻甲基苯基)磷厂家最新报价:23000元/吨。 2025-07-30 08:38:51

三(邻甲基苯基)磷生产厂家及价格列表

三(邻甲苯基)膦
武汉朋和科技有限公司 2026-04-08
三邻甲苯基膦
濮阳惠成新材料产业技术研究院有限公司 2026-02-09