非班太尔(苯硫胍)
非班太尔(苯硫胍)
中文名称:非班太尔(苯硫胍)
英文名称:Febantel
CAS号:58306-30-2
分子式:C20H22N4O6S
分子量:446.48
EINECS号:261-205-0
Mol文件:58306-30-2.mol
非班太尔(苯硫胍) 性质
| 熔点 | 129-130°C |
|---|---|
| 沸点 | 215°C (rough estimate) |
| 密度 | 1.2962 (rough estimate) |
| 折射率 | 1.6000 (estimate) |
| 储存条件 | Sealed in dry,2-8°C |
| 溶解度 | 可溶于氯仿(少量) |
| 形态 | 固体 |
| 酸度系数(pKa) | 7.60±0.46(Predicted) |
| 颜色 | 白色至类白色 |
| Merck | 14,3944 |
| 主要应用 | forensics and toxicology pharmaceutical (small molecule) |
| InChI | InChI=1S/C20H22N4O6S/c1-28-12-17(25)21-16-11-14(31-13-7-5-4-6-8-13)9-10-15(16)22-18(23-19(26)29-2)24-20(27)30-3/h4-11H,12H2,1-3H3,(H,21,25)(H2,22,23,24,26,27) |
| InChIKey | HMCCXLBXIJMERM-UHFFFAOYSA-N |
| SMILES | N(C1C=C(SC2C=CC=CC=2)C=CC=1/N=C(\NC(=O)OC)/NC(=O)OC)C(=O)COC |
| CAS 数据库 | 58306-30-2(CAS DataBase Reference) |
非班太尔(苯硫胍) 用途与合成方法
广谱驱虫药非班太尔(Febantel),又名苯硫胍,主要用于治疗和控制牛、羊、猪、马等动物的胃肠蛔虫、肺蠕虫、绦虫等,具有高效、低毒、体内停留时间短、安全范围大等特点。作为一种前体药,在体内代谢(环合)为抗寄生虫药芬苯达唑,或进一步代谢(硫原子氧化)为奥芬达唑。最先由德国拜耳制药公司研制成功,其合成路线在国内鲜有报道。上市商品拜宠清 (Drontalplus),是一种复方广谱抗蠕虫药, 含有非班太尔、吡喹酮及双羟萘酸噻嘧啶三种有效成分, 为拜耳医药保健股份有限公司生产的犬用驱虫药, 已在30 多个国家注册并应用, 可用于驱除犬的多种消化道蠕虫。
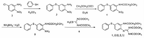
其合成路线在国内鲜有报道。本文主要通过以下路线合成得到并进行了工艺优化:以5-氯-2-硝基苯胺(2)为原料,在K2CO3作用下通过苯硫酚亲核取代得到2-硝基-5-苯硫基苯胺(3),3经甲氧基乙酰氯酰化得2-甲氧基-N-(2-硝基-5-苯硫基)苯基乙酰胺(4),4经水合肼还原得2-甲氧基-N-(2-氨基-5-苯硫基)苯基乙酰胺(5),5与S-甲基-N,N'-二甲氧羰基异硫脲(6)缩合最后得到非班太尔(1)。
吡喹酮是一种广谱抗绦虫药物。与虫体接触后,使虫体肌肉发生强直性收缩而产生痉挛性麻痹。吡喹酮对虫体皮层有迅速、明显的损伤作用,引起合胞体外皮肿胀,出现空泡,形成大疱,突出体表,最终表皮糜烂溃破,分泌体几乎全部消失,环肌与纵肌迅速先后溶解。皮层破坏后影响虫体的吸收与排泄功能,更重要的是其体表抗原暴露,从而易遭受宿主的免疫攻击,大量嗜酸性细胞附着皮损处并侵入,促使虫体死亡。此外,吡喹酮还能引起继发性变化,使虫体表膜去极化,皮层碱性磷酸酶活性明显降低,致使葡萄糖的摄取受到抑制,内源性糖原耗竭;吡喹酮还可抑制虫体核酸与蛋白质的合成。
高效液相色谱法测定 色谱条件与系统适用性试验,用十八烷基硅烷键合硅胶为填充剂,0.05 mol/L磷酸二氢钾溶液-乙腈(57:43)为流动相,检测波长为280 nm。理论板数按非班太尔峰计算,应不低于2500,非班太尔峰与咪唑脲烷、甲氧甲基咪唑及甲氧碳酰胍峰的分离度应符合要求。
测定法 取本品约50 mg,精密称定,置50 ml量瓶中,加乙腈溶解并稀释至刻度,摇匀,精密量取20μl,注入液相色谱仪,记录色谱图;另取非班太尔对照品,同法测定。按外标法以峰面积计算,即得。 抗蠕虫药。用于驱除胃肠道线虫及肺线虫。用于治疗宠物犬的线虫和绦虫感染。 内服一次量每1kg体重羊、猪5mg。在控制犬弓首蛔虫时,应在哺乳母犬产后2周给药,每2周给药1次直至12周龄,随后每3个月给药1次。对于线虫感染严重的犬,应在首次投药2周再重复给药1次。成年犬例行驱虫,每3个月1次。 休药期:羊、猪14天,羊奶2天。仅用于3 kg以上犬的治疗;勿与哌嗪类药物同时使用。 密闭,在干燥处保存。 非班太尔片(Febantel Tablets)本品含非班太尔(C20H22N4O6S)应为标示量的90.0%~110.0%。为白色或类白色片。
非班太尔颗粒剂(Febantel Granules)本品含非班太尔(C20H22N4O6S)应为标示量的90.0%~110.0%。为白色颗粒。 在奶制品中,必须按照国家标准检测残留量。 [1]朱建民,刘祥宜,吴建才. 广谱驱虫药非班太尔的合成[J]. 浙江化工,2009,08:6-7.
[2]王志强,王庆华,李浩,邱梅,张长青,赵宜惠. 拜宠清对犬自然感染蠕虫的驱虫效果试验[J]. 中国兽医杂志,2010,01:69-71.
[3]农业部发布新批准进口兽药质量标准[J]. 中国兽药杂志,2000,03:38-41.
[4]李智红,齐莹莹,王晶. 犬常用驱虫药的介绍[J]. 黑龙江畜牧兽医,2014,22:104-105.
[5]韩荣伟,王加启,郑楠,许晓敏,甄云鹏,屈雪寅,赵连生. 牛奶质量安全主要风险因子分析 Ⅲ.兽药残留[J]. 中国畜牧兽医,2012,04:1-10.
[6]吴宁鹏,班付国,周红霞,郭芙蓉,杜红鸽. 牛奶中苯并咪唑类药物及其代谢物残留的UPLC-MS/MS检测方法研究[J]. 中国兽药杂志,2010,11:1-4.
吡喹酮是一种广谱抗绦虫药物。与虫体接触后,使虫体肌肉发生强直性收缩而产生痉挛性麻痹。吡喹酮对虫体皮层有迅速、明显的损伤作用,引起合胞体外皮肿胀,出现空泡,形成大疱,突出体表,最终表皮糜烂溃破,分泌体几乎全部消失,环肌与纵肌迅速先后溶解。皮层破坏后影响虫体的吸收与排泄功能,更重要的是其体表抗原暴露,从而易遭受宿主的免疫攻击,大量嗜酸性细胞附着皮损处并侵入,促使虫体死亡。此外,吡喹酮还能引起继发性变化,使虫体表膜去极化,皮层碱性磷酸酶活性明显降低,致使葡萄糖的摄取受到抑制,内源性糖原耗竭;吡喹酮还可抑制虫体核酸与蛋白质的合成。
高效液相色谱法测定 色谱条件与系统适用性试验,用十八烷基硅烷键合硅胶为填充剂,0.05 mol/L磷酸二氢钾溶液-乙腈(57:43)为流动相,检测波长为280 nm。理论板数按非班太尔峰计算,应不低于2500,非班太尔峰与咪唑脲烷、甲氧甲基咪唑及甲氧碳酰胍峰的分离度应符合要求。测定法 取本品约50 mg,精密称定,置50 ml量瓶中,加乙腈溶解并稀释至刻度,摇匀,精密量取20μl,注入液相色谱仪,记录色谱图;另取非班太尔对照品,同法测定。按外标法以峰面积计算,即得。 抗蠕虫药。用于驱除胃肠道线虫及肺线虫。用于治疗宠物犬的线虫和绦虫感染。 内服一次量每1kg体重羊、猪5mg。在控制犬弓首蛔虫时,应在哺乳母犬产后2周给药,每2周给药1次直至12周龄,随后每3个月给药1次。对于线虫感染严重的犬,应在首次投药2周再重复给药1次。成年犬例行驱虫,每3个月1次。 休药期:羊、猪14天,羊奶2天。仅用于3 kg以上犬的治疗;勿与哌嗪类药物同时使用。 密闭,在干燥处保存。 非班太尔片(Febantel Tablets)本品含非班太尔(C20H22N4O6S)应为标示量的90.0%~110.0%。为白色或类白色片。
非班太尔颗粒剂(Febantel Granules)本品含非班太尔(C20H22N4O6S)应为标示量的90.0%~110.0%。为白色颗粒。 在奶制品中,必须按照国家标准检测残留量。 [1]朱建民,刘祥宜,吴建才. 广谱驱虫药非班太尔的合成[J]. 浙江化工,2009,08:6-7.
[2]王志强,王庆华,李浩,邱梅,张长青,赵宜惠. 拜宠清对犬自然感染蠕虫的驱虫效果试验[J]. 中国兽医杂志,2010,01:69-71.
[3]农业部发布新批准进口兽药质量标准[J]. 中国兽药杂志,2000,03:38-41.
[4]李智红,齐莹莹,王晶. 犬常用驱虫药的介绍[J]. 黑龙江畜牧兽医,2014,22:104-105.
[5]韩荣伟,王加启,郑楠,许晓敏,甄云鹏,屈雪寅,赵连生. 牛奶质量安全主要风险因子分析 Ⅲ.兽药残留[J]. 中国畜牧兽医,2012,04:1-10.
[6]吴宁鹏,班付国,周红霞,郭芙蓉,杜红鸽. 牛奶中苯并咪唑类药物及其代谢物残留的UPLC-MS/MS检测方法研究[J]. 中国兽药杂志,2010,11:1-4.
用途
广谱驱虫药,对狗、羊、猪、马等动物的各线虫、成虫和幼虫均有高度活性 类别
有毒物品 毒性分级
中毒 急性毒性
口服-大鼠 LD50: 10605 毫克/公斤; 口服-兔子 LD50: 1250 毫克/公斤 可燃性危险特性
可燃; 受热分解有毒氮氧化物,硫氧化物烟雾 储运特性
库房通风低温干燥 灭火剂
干粉,泡沫,砂土,二氧化碳, 雾状水 非班太尔(苯硫胍) 价格(试剂级)
| 更新日期 | 产品编号 | 产品名称 | CAS号 | 包装 | 价格 |
|---|---|---|---|---|---|
| 2026-03-03 | S5092 | 非班太尔 | 58306-30-2 | 25mg | 794.77 |
| 2025-12-22 | HY-17597R | 非班太尔 | 58306-30-2 | 10 mg | 270 |
非班太尔(苯硫胍)供应商 更多
湖北研科时代科技有限公司
现货
联系电话:15780669880 15727070860
产品介绍:
中文名称:非班太尔(苯硫胍)
英文名称:Non Bantyre (phenylthioguanidine)
CAS:58306-30-2
纯度:98% HPLC | 包装信息:25KG;1KG;100G;可按需包装 | 备注:精品科研试剂;专业之选 品质护航【湖北研科时代】从实验室到生产线;安全、合规、可追溯!
? 定制服务 ? 科研赋能
生物酶系列试剂、生物缓冲剂、维生素系列、精品试剂、医药中间体、宠物试剂
库存量:100kg
现货日期:2026/4/7 9:24:46
武汉裕清嘉衡药业有限公司
联系电话:027-83850122 13343472658
产品介绍:
中文名称:非班太尔/苯硫胍
英文名称:Febantel
CAS:58306-30-2
纯度:>=98% | 包装信息:5kg
湖北威德利化学科技有限公司
联系电话:027-83991130 18627774460
产品介绍:
中文名称:非班太尔/苯硫胍
英文名称:Febantel
CAS:58306-30-2
纯度:99.9% | 包装信息:1G 50G 1KG 25KG | 备注:医药级
库存量:200g
现货日期:2026/2/24 10:34:08
湖北魏氏化学试剂股份有限公司
联系电话:17771898297 13125137661
产品介绍:
中文名称:非班太尔/苯硫胍
英文名称: Febantel;Benzimidazole
CAS:58306-30-2
纯度:99% | 包装信息:1KG/2200;10KG/1700;25KG/1500
榆林润天畅化工有限责任公司
联系电话: 15890142075
产品介绍:
中文名称:非班太尔/苯硫胍
英文名称:Febantel
CAS:58306-30-2
纯度:98%(具体以咨询为准) | 包装信息:1g;5g;10g;25g;100g;500g;1kg;25kg;200kg;1T | 备注:产品包装可根据需求分装,询价请+QQ3555133855;微信15890142075,另我公司产品出现质量问题,全额退款,并承担来回运费,
非班太尔(苯硫胍)新闻专题 更多
2025-10-16
非班太尔的生物活性与生产方法