氟胺氰菊酯标准溶液
氟胺氰菊酯标准溶液 性质
| 沸点 | 450°C |
|---|---|
| 密度 | 1.2900 |
| 蒸气压 | 9×10-11 Pa (25 °C) |
| 闪点 | 90 °C |
| 储存条件 | Sealed in dry,Room Temperature |
| 溶解度 | DMF:10 mg/ml,DMSO:10 mg/ml,乙醇:10 mg/ml |
| 水溶解性 | 0.001 mg l-1 (20 °C) |
| 酸度系数(pKa) | -1.16±0.50(Predicted) |
| BRN | 8092907 |
| Henry's Law Constant | 8.3×103 mol/(m3Pa) at 25℃, Maniere et al. (2011) |
| 主要应用 | agriculture environmental |
| InChIKey | INISTDXBRIBGOC-XMMISQBUSA-N |
| SMILES | C(OC(C#N)C1=CC=CC(OC2=CC=CC=C2)=C1)(=O)[C@@H](C(C)C)NC1=CC=C(C(F)(F)F)C=C1Cl |
| LogP | 7.310 (est) |
| CAS 数据库 | 102851-06-9(CAS DataBase Reference) |
| EPA化学物质信息 | Tau-fluvalinate (102851-06-9) |
氟胺氰菊酯标准溶液 用途与合成方法
杀虫谱广,具触杀和胃毒作用,还有拒食和驱避活性,除具有一般拟除虫菊酯农药的特点外,并能歼除多数菊酯类农药所不能防治的螨类。即使在田间高温条件下,仍能保持其原杀虫活性,且有较长残效。对蜜蜂安全,对许多农作物没有药害。
氟胺氰菊酯主要用于杀灭蜂螨。1.氟胺氰菊酯药液配好立即使用,不要久放;
2.不宜与碱性农药混用,以免分解;
3.不能在桑园和鱼塘内及周围使用,以免对蚕、鱼等产生毒害;
4.氟胺氰菊酯应在远离火源处贮存,以免发生危险;
5.本品在作物上的使用间隔期,棉花上为5—7天,蔬菜上10天左右。
氟胺氰菊酯通过钠离子通道的相互作用扰乱神经的功能,作用于害虫的神经系统。具有触杀和胃毒作用的杀虫、杀螨剂。该药剂杀虫谱广,还有拒食和驱避活性,除具有一般拟除虫菊酯农药的特点外,还能歼除多数菊酯类农药所不能防止的螨类。即使在田间高温条件下,仍能保持其原杀虫活性,且有较长残效。对许多农作物没有药害。
氟胺氰菊酯原药为黄色黏稠液体。b.p.大于450℃,相对密度1.29 (25℃)。折射率n20D1.541,蒸气压;1.3×10-5Pa (25℃),闪点>120℃。易溶于丙酮、醇类、二氯甲烷、三氯甲烷、乙醚及芳香烃溶剂;难溶于水(0.002mg/kg)。分配系数7000。对光、热及酸性介质中稳定,碱性介质中分解。易被土壤有机质固定。无爆炸性。
氟胺氰菊酯是一种高效、广谱拟除虫菊酯类杀虫、杀螨剂,具有胃毒和触杀作用,对作物安全、残效期较长。可用于防治棉铃虫、棉红铃虫、棉蚜、棉红蜘蛛、玉米螟、菜青虫、小菜蛾、柑橘潜叶蛾、茶毛虫、茶尺蠖、桃小食心虫、绿盲椿、叶蝉、粉虱、小麦黏虫、大豆食心虫、大豆蚜虫、甜菜夜蛾等。如防治棉铃虫、红铃虫在卵孵盛期,幼虫蛀入蕾、铃之前,防治棉蚜于无翅成若虫盛发期,用20%乳油1000~2000倍液喷雾;防治菜蚜、菜青虫,用20%乳油2.25~3.75mL/100m2 ,对水7.5g喷雾;防治大豆食心虫、小麦黏虫,用20%乳油3000~4000倍液喷雾。由于长期连续使用的缘故,害虫已对该药剂产生耐药性,并造成对多种拟除虫菊酯产生交互抗性,对已产生抗性害虫应停止使用为宜。
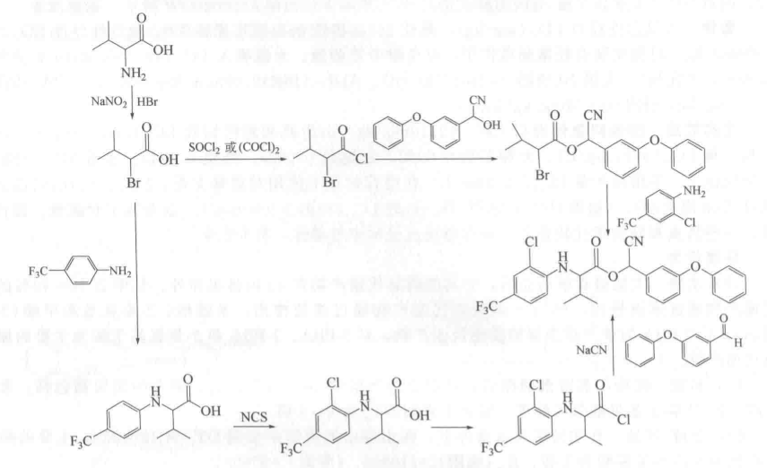
制备方法一
α-溴代异戊酸用SOCl2氯化,制得α-溴代异戊酰氯,然后再与α-氰基-3-苯氧基苯甲醇反应生成α-氰基-(3-苯氧基苄基)-2’-溴代异戊酸酯,最后与2-氯-4-三氟甲基苯胺缩合制得氟胺氰菊酯。
制备方法二
α-氨基异戊酸用溴化氢溴化,生成α-溴代异戊酸。然后与二氟甲基苯胺、N-氯代琥珀酰亚胺反应,随后再与α-氰基-3-苯氧基苯甲醇反应制得。

安全信息
| 危险品标志 | Xn,N |
|---|---|
| 危险类别码 | 22-38-50/53 |
| 安全说明 | 24-59-61 |
| 危险品运输编号 | UN2810 6.1/PG 3 |
| WGK Germany | 3 |
| 海关编码 | 29269090 |
| 存储类别 | 6.1C - 可燃,急性毒性 类别3 毒性化合物或者引起慢性影响的化合物 |
| 危险性类别 | 急性毒性 类别3经口 危害水生环境-急性危害 类别1 危害水生环境-长期危害 类别1 经皮刺激 类别2 |