噻螨酮标准溶液
中文名称:噻螨酮标准溶液
英文名称:Hexythiazox
CAS号:78587-05-0
分子式:C17H21ClN2O2S
分子量:352.88
EINECS号:616-638-3
Mol文件:78587-05-0.mol
噻螨酮标准溶液 性质
| 熔点 | 108-108.5°C |
|---|---|
| 沸点 | 128°C (rough estimate) |
| 密度 | 1.1354 (rough estimate) |
| 折射率 | 1.6100 (estimate) |
| 闪点 | 100 °C |
| 储存条件 | 0-6°C |
| 水溶解性 | Insoluble in water |
| 溶解度 | DMF: 5 mg/ml,DMF:PBS(pH 7.2)(1:1): 0.5 mg/ml,DMSO: 2 mg/ml,乙醇: 0.2 mg/ml |
| 形态 | 固体 |
| 酸度系数(pKa) | 12.77±0.20(Predicted) |
| 颜色 | 白色到近乎白色 |
| BRN | 9001643 |
| Henry's Law Constant | 4.2×102 mol/(m3Pa) at 25℃, HSDB (2015) |
| 主要应用 | agriculture environmental |
| InChI | InChI=1/C17H21ClN2O2S/c1-11-15(12-7-9-13(18)10-8-12)23-17(22)20(11)16(21)19-14-5-3-2-4-6-14/h7-11,14-15H,2-6H2,1H3,(H,19,21)/t11-,15+/s3 |
| InChIKey | XGWIJUOSCAQSSV-ICMWTWRANA-N |
| SMILES | S1[C@H](C2=CC=C(Cl)C=C2)[C@@H](C)N(C(NC2CCCCC2)=O)C1=O |&1:1,9,r| |
| CAS 数据库 | 78587-05-0(CAS DataBase Reference) |
| EPA化学物质信息 | Hexythiazox (78587-05-0) |
噻螨酮标准溶液 用途与合成方法
噻螨酮为噻二嗪类昆虫生长调节剂,具高选择性,触杀作用强,有胃毒作用,对同翅目的飞虱、叶蝉、粉虱及介壳虫烃害虫有良好的防治效果,对某些鞘翅目害虫和害螨也具有持久的杀幼虫活性。可有效地防治水稻上的飞虱和叶蝉、茶、马铃薯上的叶蝉、柑橘、蔬菜上的粉虱,柑橘上的盾蚧和粉蚧。据国内研究在水稻植株上有一定的内吸输导作用。其作用机制为抑制昆虫几丁质合成和干扰新陈代谢,致使若虫不能蜕皮,或蜕皮畸形,或羽化畸形而缓慢死亡,具有高杀若虫活性。一般推荐剂量不能直接杀死成虫,但能减少产卵、降低卵孵化率和缩短其寿命。一般施药后3~7 天才能看出效果,对成虫没有直接杀伤力,但可缩短其寿命,减少产卵量,并且产出的多是不育卵,幼虫即使孵化也很快死亡。对半翅目的飞虱、叶蝉、粉虱及介壳虫类害虫有良好的防治效果,药效期长达30天以上。对天敌较安全,噻螨酮与其他类杀虫剂无交互抗性问题,综合效应好。该药作用缓慢,施药后3~7天才能控制害虫危害。虫口密度高时,应与速效药剂混用。
噻螨酮也是一种噻唑烷酮类杀螨剂,对植物表皮层有较好的穿透性,但无内吸传导作用。对多种植物害螨具有较强烈的杀卵,杀幼若螨特性,对成螨无效,但对接触到药液的雌成螨所产的卵具有抑制孵化作用。该药属于非温度系数型杀螨剂,在不同温度下使用效果无显著差异,残效期长。该药对叶螨防效好,对锈螨,瘿螨防效差。在常用浓度下对作物安全,可与波尔多液,石硫合剂等多种农药混用。 大鼠、小鼠急性经口 LD50>5000mg/kg,急性经皮 LD50>5000mg/kg,大鼠急性吸入 LC50>2mg/L (4h)。对兔皮肤无刺激作用,对眼睛有轻微刺激性。大鼠2年饲喂试验无作用剂量为23.1mg/kg。动物试验未发现致畸、致癌、致突变现象。鲤鱼 LC503.7mg/L (48h),鹌鹑急性经口 LD50>5000mg/kg,蜜蜂 LD50>0.2mg/只。
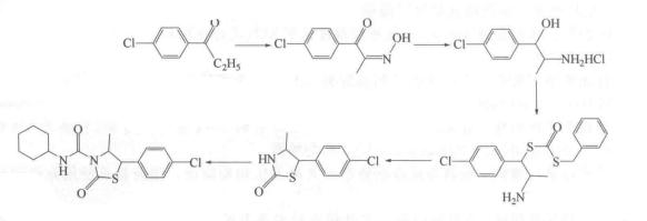
反-5-(4-氯苯基)-4-甲基-2-氧代噻唑烷酮的制备 在乙醇介质中及缚酸剂存在下,与二硫化碳进行环合,再经氧化而得。操作方法:将5g氢氧化钾配成水溶液,于室温下加入到10.6g赤2-氨基-1-对氯苯基丙醇硫酸酯和6.1g二硫化碳的乙醇混合液中,控制反应温度40℃,反应时间3h,得硫代环合中间物。然后,将此中间物2.44g与2.7g甲醇钠在甲醇溶液中于室温下反应,并在40℃用5.2g30%双氧水进行氧化处理,即得取代的反式噻唑烷酮中间体,两步反应总收率79.8%。
反-5-(4-氯苯基)-4-甲基-2-氯代噻唑烷酮也可用赤-2-氨基-1-对氯苯基丙醇的硫酸酯为原料,在缚酸剂存在下,与过量的氧硫化碳作用,一步合成,反应产率71%。
环己基异氰酸酯的制备 以二甲苯为溶剂,将1mol二氧化碳与2mol环己胺反应,生成取代氨基甲酸,再与四氯化硅或三甲基氯化硅作用生成相应的酯,后经热解得环己基异氰酸酯,此法收率较高。
也可用环己胺盐酸盐和光气为原料,经环己基氨基甲酰氯,在惰性溶剂中热解制得环己基异氰酸酯。
或用环己胺和一氧化碳为原料,催化加压反应制得环己基异氰酸酯,尚需进一步探索。
噻螨酮的合成 以反-5-(4-氯苯基)-4-甲基-2-氧代噻唑烷酮和环己基异氰酸酯为原料,经加成反应制得。操作方法:将20.9g反式噻唑烷酮和11.9g环己基异氰酸酯,在苯溶剂中,于室温搅拌反应,经后处理得噻螨酮,收率94.8%。也有报道所用催化剂为强碱性的1,8-二氮双环-5,4-十一碳-7-烯(DBU)。
噻螨酮也是一种噻唑烷酮类杀螨剂,对植物表皮层有较好的穿透性,但无内吸传导作用。对多种植物害螨具有较强烈的杀卵,杀幼若螨特性,对成螨无效,但对接触到药液的雌成螨所产的卵具有抑制孵化作用。该药属于非温度系数型杀螨剂,在不同温度下使用效果无显著差异,残效期长。该药对叶螨防效好,对锈螨,瘿螨防效差。在常用浓度下对作物安全,可与波尔多液,石硫合剂等多种农药混用。 大鼠、小鼠急性经口 LD50>5000mg/kg,急性经皮 LD50>5000mg/kg,大鼠急性吸入 LC50>2mg/L (4h)。对兔皮肤无刺激作用,对眼睛有轻微刺激性。大鼠2年饲喂试验无作用剂量为23.1mg/kg。动物试验未发现致畸、致癌、致突变现象。鲤鱼 LC503.7mg/L (48h),鹌鹑急性经口 LD50>5000mg/kg,蜜蜂 LD50>0.2mg/只。
以对氯苯丙酮为起始原料,先进行酮肟化反应生成肟化物,然后经催化氢化还原为醇胺物,再同二硫化碳、苄基氯经缩合和重排反应生成缩合物,再经环合反应而生成反式噻唑烷酮,后者再同异氰酸环己酯进行加成而得到最终产物噻螨酮。该合成工艺的总收率以对氯苯丙酮起算达71%,所得原药含量达98%以上。
化学性质
纯品为白色晶体,无味.m.p.108~108.5℃,蒸气压3.4×10-6Pa (20℃)。20℃时溶解度为:丙酮160g/L,甲醇20.6g/L,乙腈28.6g/L,二甲苯362g/L,正己烷3.9g/L,水0.5mg/L。50℃贮存3个月稳定,在酸碱性介质中能水解,半衰期7×104h (pH=5~7)、1.2×104h (pH=9),在土壤中半衰期8d。对热稳定。 用途
该品是一种新的噻唑烷酮类杀螨剂。杀虫谱广,对叶螨、全爪螨具有高的杀螨活性,低浓度使用,效果良好,并有较好的残效性,与有机磷、三氯杀螨醇等无交互抗性,对农作物安全,对捕食螨的益虫安全,但无内吸性,对成虫效果差。 用途
杀虫谱广,对嘲螨、全爪螨等具有高的杀螨活性 用途
噻螨酮是噻唑烷酮类杀螨剂,本品具广谱性,对多种叶螨的幼若螨和卵有良好的作用,但对成螨效果差,经药剂处理后雌螨成虫,其所产卵不能孵化。以触杀作用为主,对植物组织有良好的渗透性,无内吸作用。药效速度缓慢,但残效期可长达1个月以上。对作物、哺食螨和益虫安全。如防治苹果红蜘蛛,在幼若螨盛发期,平均每叶有3~4只螨时,用5%乳油或5%可湿性粉剂1500~2000倍液喷雾。收获前7d停止使用。
生产方法
以反式5-(4-氯苯基)-4-甲基-2-氧代噻唑烷酮和环已基异氰酸酯为原料进行缩合而得。将20g反式5-(4-氯苯基)-4-甲基-2-氧代噻唑烷酮和11.9g环已基异氰酸酯加入苯中,于室温搅拌反应,经后处理得30.7g噻螨酮。反式5-(4-氯苯基)-4-甲基-2-氧代噻唑烷酮的制备:将反-2-氨基-1-对氯苯基丙醇在有机溶剂中与等摩尔量的硫酸进行缩合脱水,生成反-硫酸酯,然后在碱性条件下,与氧硫化碳反应,生成硫代氨基甲酸衍生物,同时分子内硫原子攻击苯基上的碳,生成对,5-反式噻唑烷酮。配制成10%乳油、10%或50%可湿性粉剂。 生产方法
赤-2-氨基-1-对氯苯基丙醇硫酸酯的制备 将20g赤-2-氨基-1-对氯苯基丙醇和21.9g50%硫酸的混合物与苯一起共沸蒸馏,脱去水分,得相应的硫酸酯,收率99%.反-5-(4-氯苯基)-4-甲基-2-氧代噻唑烷酮的制备 在乙醇介质中及缚酸剂存在下,与二硫化碳进行环合,再经氧化而得。操作方法:将5g氢氧化钾配成水溶液,于室温下加入到10.6g赤2-氨基-1-对氯苯基丙醇硫酸酯和6.1g二硫化碳的乙醇混合液中,控制反应温度40℃,反应时间3h,得硫代环合中间物。然后,将此中间物2.44g与2.7g甲醇钠在甲醇溶液中于室温下反应,并在40℃用5.2g30%双氧水进行氧化处理,即得取代的反式噻唑烷酮中间体,两步反应总收率79.8%。
反-5-(4-氯苯基)-4-甲基-2-氯代噻唑烷酮也可用赤-2-氨基-1-对氯苯基丙醇的硫酸酯为原料,在缚酸剂存在下,与过量的氧硫化碳作用,一步合成,反应产率71%。
环己基异氰酸酯的制备 以二甲苯为溶剂,将1mol二氧化碳与2mol环己胺反应,生成取代氨基甲酸,再与四氯化硅或三甲基氯化硅作用生成相应的酯,后经热解得环己基异氰酸酯,此法收率较高。
也可用环己胺盐酸盐和光气为原料,经环己基氨基甲酰氯,在惰性溶剂中热解制得环己基异氰酸酯。
或用环己胺和一氧化碳为原料,催化加压反应制得环己基异氰酸酯,尚需进一步探索。
噻螨酮的合成 以反-5-(4-氯苯基)-4-甲基-2-氧代噻唑烷酮和环己基异氰酸酯为原料,经加成反应制得。操作方法:将20.9g反式噻唑烷酮和11.9g环己基异氰酸酯,在苯溶剂中,于室温搅拌反应,经后处理得噻螨酮,收率94.8%。也有报道所用催化剂为强碱性的1,8-二氮双环-5,4-十一碳-7-烯(DBU)。
安全信息
| 危险品标志 | N |
|---|---|
| 危险类别码 | 50/53 |
| 安全说明 | 60-61 |
| 危险品运输编号 | UN 3077 |
| WGK Germany | 2 |
| RTECS号 | XJ5396000 |
| 海关编码 | 29341000 |
| 存储类别 | 11 - 可燃固体 |
| 危险性类别 | 危害水生环境-急性危害 类别1 危害水生环境-长期危害 类别1 |
| 毒害物质数据 | 78587-05-0(Hazardous Substances Data) |
| 毒性 | LD50 in male, female mice, male, female rats (mg/kg): all >5000 orally; all >5000 dermally (Nippon Soda Co.) |
噻螨酮标准溶液 农药中毒急救措施
中毒症状
对皮肤有轻微刺激,无人体中毒报道。 急救治疗
万一误服,送医院对症治疗。 注意事项
[1]本品对成螨无作用,要掌握在成螨虫口较低时或比其它杀螨剂稍早些使用效果更佳 [2]无内吸性,喷药要均匀周到 [3]对柑桔锈螨无效,在用该药防治红蜘蛛时应注意锈螨的发生为害 [4]残效期长。 [5]不宜和拟除虫菊酯、二嗪磷、甲噻硫磷混用 噻螨酮标准溶液 价格(试剂级)
| 更新日期 | 产品编号 | 产品名称 | CAS号 | 包装 | 价格 |
|---|---|---|---|---|---|
| 2025-12-22 | HY-B1851 | 噻螨酮 | 78587-05-0 | 50mg | 250 |
| 2025-12-22 | HY-B1851 | 噻螨酮 | 78587-05-0 | 10mM * 1mLin DMSO | 275 |
噻螨酮标准溶液供应商 更多
上海阿拉丁生化科技股份有限公司
联系电话:400-6206333 13167063860
产品介绍:
中文名称:噻螨酮标准溶液
英文名称:Hexythiazox solution
CAS:78587-05-0
品牌:阿拉丁生化 | 产品编号:H110008 | Purity:分析标准品, 1.00mg/ml in metahnol
上海阿拉丁生化科技股份有限公司
联系电话:400-6206333 13167063860
产品介绍:
中文名称:噻螨酮标准溶液
英文名称:Hexythiazox solution
CAS:78587-05-0
品牌:阿拉丁生化 | 产品编号:H110008 | Purity:分析标准品, 1.00mg/ml in metahnol
上海迈瑞尔生化科技有限公司
联系电话: 18621169109
产品介绍:
中文名称:噻螨酮标准溶液
英文名称:Hexythiazox solution
CAS:78587-05-0
品牌:迈瑞尔 | 产品编号:MKL | Purity:10μg/ml,u=6%
上海永叶生物科技有限公司
联系电话:021-61559134 15921386130
产品介绍:
中文名称:噻螨酮标准溶液
英文名称:Hexythiazox solution
CAS:78587-05-0
品牌:源叶 | 产品编号:B61959 | Purity:分析标准品, 1.00mg/ml in metahnol
上海易恩化学技术有限公司
联系电话:400-400-1332688 18019345275
产品介绍:
中文名称:噻螨酮标准溶液
英文名称:Hexythiazox solution
CAS:78587-05-0
品牌:罗恩试剂 | 产品编号:R011843 | Purity:100μg/ml(u=3%,溶剂:丙酮)
噻螨酮标准溶液新闻专题 更多
2025-12-04
噻螨酮的一种合成方法