甲醇中脱氢异雄酮溶液标准物质
甲醇中脱氢异雄酮溶液标准物质
中文名称:甲醇中脱氢异雄酮溶液标准物质
英文名称:Dehydroepiandrosterone
CAS号:53-43-0
分子式:C19H28O2
分子量:288.43
EINECS号:200-175-5
Mol文件:53-43-0.mol
甲醇中脱氢异雄酮溶液标准物质 性质
| 熔点 | 149-151 °C(lit.) |
|---|---|
| 比旋光度 | 12 º (c=2, ethanol 96% 25 ºC) |
| 沸点 | 370.65°C (rough estimate) |
| 密度 | 1.0484 (rough estimate) |
| 折射率 | 1.4709 (estimate) |
| 闪点 | 9℃ |
| 储存条件 | Hormones |
| 溶解度 | 不溶于水; DMSO 中≥13.7 mg/mL;乙醇中≥58.6 mg/mL |
| 形态 | 精细结晶粉末 |
| 酸度系数(pKa) | 15.02±0.60(Predicted) |
| 颜色 | 白色 |
| 生物来源 | synthetic (organic) |
| 旋光度 (Optical Rotation) | +10.918 (c 1, ethanol) |
| 水溶解性 | 21.8mg/L(23.5 ºC) |
| Merck | 2871 |
| BRN | 2058110 |
| 化妆品成分功效 | SKIN CONDITIONING |
| InChI | 1S/C19H28O2/c1-18-9-7-13(20)11-12(18)3-4-14-15-5-6-17(21)19(15,2)10-8-16(14)18/h3,13-16,20H,4-11H2,1-2H3/t13-,14-,15-,16-,18-,19-/m0/s1 |
| InChIKey | FMGSKLZLMKYGDP-USOAJAOKSA-N |
| SMILES | C[C@]12CC[C@H]3[C@@H](CC=C4C[C@@H](O)CC[C@]34C)[C@@H]1CCC2=O |
| LogP | 3.230 |
| CAS 数据库 | 53-43-0 |
| NIST化学物质信息 | 5-Androstene-3«beta»-ol-17-one(53-43-0) |
| EPA化学物质信息 | Prasterone (53-43-0) |
甲醇中脱氢异雄酮溶液标准物质 用途与合成方法
去氢表雄酮(dehydroepiandrosterone,简称为DHEA),化学名称为3–β–羟基雄甾–5–烯–17–酮,又名脱氢表雄酮,是一种保留胆固醇△5,6双键及可酯化3–β–羟基甾体,其分子式是C19H28O2,分子量为 288.41,熔点为 151℃~153℃,旋光度 +5.5°,是人体肾上腺皮质网状层分泌一种肾上腺激素前体物质,具有调节肥胖、防糖尿病、抗致癌和病毒感染、提高记忆、免疫反应和应激反应、减轻紧张等生理活性,是制造甾体激素中间体,并参与合成肾上腺分泌多种激素。
呈二种晶型。针状晶体,熔点140~141℃;小叶片状晶体,熔点152~153℃。有右旋光性。溶于乙醇、乙醚、苯,微溶于氯仿、石油醚。遇毛地黄皂甙产生沉淀。
有关去氢表雄酮的概述、理化性质、生理活性、制备方法、分析方法、应用是由Chemicalbook的丁红编辑整理。(2016-02-01) 1.防治肥胖症 DHEA 有拟甲状腺作用,可抑制食物和脂肪摄入,减少脂肪积累等。口服小剂量DHEA硫酸酯对改善体脂数量和分布及降血脂有一定作用。另外,DS可作用于线粒体呼吸器,抑制食物和脂肪摄入,并与DHEA对抗糖皮质激素有关,可防治肥胖症。
2.抗糖尿病 DHEA 具有改善葡萄糖耐量、提高胰岛素水平和抗糖尿作用。
3.抗皮质疾病 DHEA 能增强内分泌系统活性,降低皮质醇水平,对各种病理过程起抵抗作用。系统性红斑狼疮(SLE)患者服用 DHEA 后,症状有很大改善,表明DHEA 治疗 SLE 病有一定作用。DHEA能帮助人体获得皮质抗体,血浆中DHEA浓度与各种皮质疾病有很大关系,浓度越低,患病危险性越大。
4.抗癌症 DHEA 对预防和抑制肿瘤生长具有一定作用,首先临床发现DHEA抗致癌作用与逆转乳腺癌有关。低水平 DHEA 与膀胱癌、胃癌有关,并与年龄不相关。已获证实,DHEA用于化疗肿瘤时具有保护、协同作用,因DHEA具有抑制5磷酸核糖作用,DHEA 通过抑制过多线粒体(NADPH)和5-磷酸核糖酯而起到抑制癌症作用。DHEA能抑制胰腺癌细胞生长,推测其机制是DHEA通过调节血浆中雌激素浓度交替变化,从而抑制胰癌细胞生长。
5.延缓衰老作用 人在25~30岁时,体内DHEA含量最高,30岁后便会逐渐下降,每年下降速率为2%左右,人到70岁时,体内DHEA含量已降至其年轻时25%以下;与此同时,与 DHEA下降有关老年病发病率亦随之上升。GnRH基因表达功能下降导致衰老,认为DHEA可恢复GnRH神经元活性,通过刺激GnRH生物合成,阻止或改善某些与DHEA下降有关疾病。
6.免疫反应 DHEA 具有恢复受损免疫反应,提高T细胞和B细胞免疫功能,DHEA 在提高类胰岛素生长因子(IGF-1)生理活性中起重要作用,是治疗免疫缺乏症潜在有益药物。
7.对骨质影响 DHEA 本身不能直接独立影响人体成骨细胞成长和分化,但可通过影响 1,25-二羟基维生素D3变化实现成骨细胞生长和分化。DHEA 对骨质影响效力取决于性激素在骨细胞中存在形式及其对成骨细胞内分泌作用。
8.蛋白质代谢 DHEA 为蛋白质同化激素,具有促进蛋白质合成作用。据 Marrero 等研究发现,用DHEA(0.45%)喂养小鼠可增加肝重量,通过肝蛋白诱导而增加肝线粒体,恢复RNA和蛋白合成。
9.其它方面 DHEA 对治疗绝经期综合症、硬皮病、冠心病、痛风、牛皮癣、艾滋病等已作广泛临床研究。研究还发现,结核病胞质变形致病机制与肾上腺皮质激素和抗肾上腺皮质激素浓度有关;胎儿血浆中皮质醇(Cortisol)/DHEA-S 浓度与分娩期有很大关系。 1.化学合成
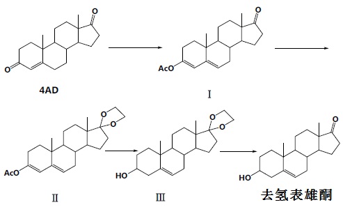
以4-雄烯-二酮为原料,用乙酰氯和醋酐为3位烯酯化试剂、用高效催化剂吡啶盐酸盐催化乙二醇缩酮保护17位羰基、用硼氢化钾还原,稀盐酸水解去 17 位保护制备甾体激素类药物关键中间体去氢表雄酮,总收率高达 70 %,产品 HPLC 大于 99.0 %,单杂小于 0.2 %。

图1为化学合成法的合成路线
(1)3-乙酰氧基-雄甾-3,5-二烯-17-酮的合成(Ⅰ)
将醋酐 300 mL、乙酰氯 200 mL、4AD 100 g 依次加入反应瓶,搅拌 10 分钟至物料全部溶清,缓慢滴加三乙胺 80 mL,控制滴加温度不超过 30 度,滴加完毕,缓慢升温 50 度至 55 度保温反应20 小时,点板反应完全,无原料点。将反应液倒入 3000 mL 水中水析,过滤,大量水洗至中性,烘干得料 110 g,重量收率 110.0 %,该中间体不稳定,易于分解,应在低温真空状态下保存。
(2)3-乙酰氧基-3,5-二烯-17,17-亚乙二氧基-雄甾的合成(Ⅱ)
将 3-乙酰氧基-雄甾-3,5-二烯-17-酮 100 g、原甲酸三乙酯 300mL、乙二醇 600 mL、高效催化剂吡啶盐酸盐 2.0 g 依次投入通氮气保护的四口反应瓶中,水浴于 50 度保温反应 3 小时,取样点板,无原料点。加入 8.0 mL 三乙胺终止反应,搅拌 30 分钟,将反应液倒入 3000 mL 纯化水中水析 5 小时,过滤,水洗至中性,烘干得料 110 g,重量收率 110.0 %,该中间体不稳定,易于分解,应在低温真空状态下保存。
(3)去氢表雄酮的合成(DHEA)
在清洁干燥的反应瓶中加入二氯甲烷 300 mL,甲醇 100 mL,加入 3-乙酰氧基-3,5-二烯-17,17-亚乙二氧基-雄甾 100 g,催化剂 L8.5 g,搅拌溶清,在 0 ℃缓慢地加入硼氢化钾,加毕,在 20 ℃反应 5 小时,保温结束,取样点板;反应完全,滴加盐酸水溶液调节 pH 至 2.0,在 30 ℃保温反应 2 小时,取样点板;反应完全,反应液无原料点,常压蒸馏至基本无溶剂,降温到 30 ℃加水继续搅拌降温到 15~20 ℃,过滤,水洗涤至中性,甩干,得白色的湿品,在 75 ℃干燥 24 小时,得白色的去氢表雄酮粗品 71 g,重量收率 71 %,HPLC 大于 95.0 %,单杂小于 3.0 %。
(4)去氢表雄酮的精制
将去氢表雄酮粗品 100 g、甲醇 500 mL 加入反应瓶中,加热至物料溶清,降温,加入活性炭 8 g,保持回流状态 30 分钟,趁热过滤,甲醇漂洗活性炭,滤液减压浓缩至糊状,过滤,少量甲醇漂洗,抽干,烘干得料 83 g,HPLC 大于 99.5 %,单杂小于0.2 %mp:147.0~149.5 ℃。
2.生物法合成
采用微生物发酵法生产 DHEA 成为一种理想的生产方法。其主要反应流程如图2 所示: 先通过化学反应将混合植物甾醇( 多为甾醇的混合物,主要成分包括菜籽甾醇、菜油甾醇、β-谷甾醇和豆甾醇) 3-位羟基保护,生成植物甾醇保护物,再利用微生物发酵生成去氢表雄酮甲氧基甲基醚,经过水解,可得到 DHEA。

图2为微生物发酵法生产 DHEA 反应流程图
3.从天然产物中提取
用丙酮溶除类脂和脂肪,剩余物再用稀盐酸或醋酸在 50℃下水解,从脑垂体叶、孕妇尿液和血液中分离出 DHEA。 1.薄层色谱(TLC)法
以硅胶 G(60F254)为固定相,用氯仿―乙醚―石油醚(60℃ ~80℃,50 ∶ 45 ∶ 5)作展开剂,空气中干燥后在紫外灯下观察,或喷以 0.2% 2,4-二硝基苯肼盐酸(2 mol/L)溶液显色(橄榄黄~棕黄);3.5% 磷钼酸乙醇溶液喷后,在 120℃下烘 10 min 显色(蓝绿色)及 1%(g/v)香草醛浓硫酸液喷后在 120℃烘 10min 显色(紫红色斑点)(DHEA 为紫色)。
2.高效液相色谱法(HPLC)
HPLC 法可实现薄层法较难实现定量分析,该法回收率为 99.27%,相对标准偏差为 0.65%。
3.其它方法
气相色谱―质谱(GC/MS)联用技术和放射免疫测定法是较为有效定性、定量鉴定DHEA方法。由于DHEA在天然产物中含量太低,需要灵敏度非常高检测器。生物酶免疫法是最近发展一种测定化合物含量新颖方法,由于酶含量较低,放射化学法检测酶活性有一定困难。 1.制造甾体激素如炔诺酮、双炔失碳酯等的中间体。
2.参与合成肾上腺分泌多种激素
有关去氢表雄酮的概述、理化性质、生理活性、制备方法、分析方法、应用是由Chemicalbook的丁红编辑整理。(2016-02-01) 1.防治肥胖症 DHEA 有拟甲状腺作用,可抑制食物和脂肪摄入,减少脂肪积累等。口服小剂量DHEA硫酸酯对改善体脂数量和分布及降血脂有一定作用。另外,DS可作用于线粒体呼吸器,抑制食物和脂肪摄入,并与DHEA对抗糖皮质激素有关,可防治肥胖症。
2.抗糖尿病 DHEA 具有改善葡萄糖耐量、提高胰岛素水平和抗糖尿作用。
3.抗皮质疾病 DHEA 能增强内分泌系统活性,降低皮质醇水平,对各种病理过程起抵抗作用。系统性红斑狼疮(SLE)患者服用 DHEA 后,症状有很大改善,表明DHEA 治疗 SLE 病有一定作用。DHEA能帮助人体获得皮质抗体,血浆中DHEA浓度与各种皮质疾病有很大关系,浓度越低,患病危险性越大。
4.抗癌症 DHEA 对预防和抑制肿瘤生长具有一定作用,首先临床发现DHEA抗致癌作用与逆转乳腺癌有关。低水平 DHEA 与膀胱癌、胃癌有关,并与年龄不相关。已获证实,DHEA用于化疗肿瘤时具有保护、协同作用,因DHEA具有抑制5磷酸核糖作用,DHEA 通过抑制过多线粒体(NADPH)和5-磷酸核糖酯而起到抑制癌症作用。DHEA能抑制胰腺癌细胞生长,推测其机制是DHEA通过调节血浆中雌激素浓度交替变化,从而抑制胰癌细胞生长。
5.延缓衰老作用 人在25~30岁时,体内DHEA含量最高,30岁后便会逐渐下降,每年下降速率为2%左右,人到70岁时,体内DHEA含量已降至其年轻时25%以下;与此同时,与 DHEA下降有关老年病发病率亦随之上升。GnRH基因表达功能下降导致衰老,认为DHEA可恢复GnRH神经元活性,通过刺激GnRH生物合成,阻止或改善某些与DHEA下降有关疾病。
6.免疫反应 DHEA 具有恢复受损免疫反应,提高T细胞和B细胞免疫功能,DHEA 在提高类胰岛素生长因子(IGF-1)生理活性中起重要作用,是治疗免疫缺乏症潜在有益药物。
7.对骨质影响 DHEA 本身不能直接独立影响人体成骨细胞成长和分化,但可通过影响 1,25-二羟基维生素D3变化实现成骨细胞生长和分化。DHEA 对骨质影响效力取决于性激素在骨细胞中存在形式及其对成骨细胞内分泌作用。
8.蛋白质代谢 DHEA 为蛋白质同化激素,具有促进蛋白质合成作用。据 Marrero 等研究发现,用DHEA(0.45%)喂养小鼠可增加肝重量,通过肝蛋白诱导而增加肝线粒体,恢复RNA和蛋白合成。
9.其它方面 DHEA 对治疗绝经期综合症、硬皮病、冠心病、痛风、牛皮癣、艾滋病等已作广泛临床研究。研究还发现,结核病胞质变形致病机制与肾上腺皮质激素和抗肾上腺皮质激素浓度有关;胎儿血浆中皮质醇(Cortisol)/DHEA-S 浓度与分娩期有很大关系。 1.化学合成
以4-雄烯-二酮为原料,用乙酰氯和醋酐为3位烯酯化试剂、用高效催化剂吡啶盐酸盐催化乙二醇缩酮保护17位羰基、用硼氢化钾还原,稀盐酸水解去 17 位保护制备甾体激素类药物关键中间体去氢表雄酮,总收率高达 70 %,产品 HPLC 大于 99.0 %,单杂小于 0.2 %。

图1为化学合成法的合成路线
(1)3-乙酰氧基-雄甾-3,5-二烯-17-酮的合成(Ⅰ)
将醋酐 300 mL、乙酰氯 200 mL、4AD 100 g 依次加入反应瓶,搅拌 10 分钟至物料全部溶清,缓慢滴加三乙胺 80 mL,控制滴加温度不超过 30 度,滴加完毕,缓慢升温 50 度至 55 度保温反应20 小时,点板反应完全,无原料点。将反应液倒入 3000 mL 水中水析,过滤,大量水洗至中性,烘干得料 110 g,重量收率 110.0 %,该中间体不稳定,易于分解,应在低温真空状态下保存。
(2)3-乙酰氧基-3,5-二烯-17,17-亚乙二氧基-雄甾的合成(Ⅱ)
将 3-乙酰氧基-雄甾-3,5-二烯-17-酮 100 g、原甲酸三乙酯 300mL、乙二醇 600 mL、高效催化剂吡啶盐酸盐 2.0 g 依次投入通氮气保护的四口反应瓶中,水浴于 50 度保温反应 3 小时,取样点板,无原料点。加入 8.0 mL 三乙胺终止反应,搅拌 30 分钟,将反应液倒入 3000 mL 纯化水中水析 5 小时,过滤,水洗至中性,烘干得料 110 g,重量收率 110.0 %,该中间体不稳定,易于分解,应在低温真空状态下保存。
(3)去氢表雄酮的合成(DHEA)
在清洁干燥的反应瓶中加入二氯甲烷 300 mL,甲醇 100 mL,加入 3-乙酰氧基-3,5-二烯-17,17-亚乙二氧基-雄甾 100 g,催化剂 L8.5 g,搅拌溶清,在 0 ℃缓慢地加入硼氢化钾,加毕,在 20 ℃反应 5 小时,保温结束,取样点板;反应完全,滴加盐酸水溶液调节 pH 至 2.0,在 30 ℃保温反应 2 小时,取样点板;反应完全,反应液无原料点,常压蒸馏至基本无溶剂,降温到 30 ℃加水继续搅拌降温到 15~20 ℃,过滤,水洗涤至中性,甩干,得白色的湿品,在 75 ℃干燥 24 小时,得白色的去氢表雄酮粗品 71 g,重量收率 71 %,HPLC 大于 95.0 %,单杂小于 3.0 %。
(4)去氢表雄酮的精制
将去氢表雄酮粗品 100 g、甲醇 500 mL 加入反应瓶中,加热至物料溶清,降温,加入活性炭 8 g,保持回流状态 30 分钟,趁热过滤,甲醇漂洗活性炭,滤液减压浓缩至糊状,过滤,少量甲醇漂洗,抽干,烘干得料 83 g,HPLC 大于 99.5 %,单杂小于0.2 %mp:147.0~149.5 ℃。
2.生物法合成
采用微生物发酵法生产 DHEA 成为一种理想的生产方法。其主要反应流程如图2 所示: 先通过化学反应将混合植物甾醇( 多为甾醇的混合物,主要成分包括菜籽甾醇、菜油甾醇、β-谷甾醇和豆甾醇) 3-位羟基保护,生成植物甾醇保护物,再利用微生物发酵生成去氢表雄酮甲氧基甲基醚,经过水解,可得到 DHEA。

图2为微生物发酵法生产 DHEA 反应流程图
3.从天然产物中提取
用丙酮溶除类脂和脂肪,剩余物再用稀盐酸或醋酸在 50℃下水解,从脑垂体叶、孕妇尿液和血液中分离出 DHEA。 1.薄层色谱(TLC)法
以硅胶 G(60F254)为固定相,用氯仿―乙醚―石油醚(60℃ ~80℃,50 ∶ 45 ∶ 5)作展开剂,空气中干燥后在紫外灯下观察,或喷以 0.2% 2,4-二硝基苯肼盐酸(2 mol/L)溶液显色(橄榄黄~棕黄);3.5% 磷钼酸乙醇溶液喷后,在 120℃下烘 10 min 显色(蓝绿色)及 1%(g/v)香草醛浓硫酸液喷后在 120℃烘 10min 显色(紫红色斑点)(DHEA 为紫色)。
2.高效液相色谱法(HPLC)
HPLC 法可实现薄层法较难实现定量分析,该法回收率为 99.27%,相对标准偏差为 0.65%。
3.其它方法
气相色谱―质谱(GC/MS)联用技术和放射免疫测定法是较为有效定性、定量鉴定DHEA方法。由于DHEA在天然产物中含量太低,需要灵敏度非常高检测器。生物酶免疫法是最近发展一种测定化合物含量新颖方法,由于酶含量较低,放射化学法检测酶活性有一定困难。 1.制造甾体激素如炔诺酮、双炔失碳酯等的中间体。
2.参与合成肾上腺分泌多种激素
化学性质
白色结晶性粉末。熔点149-151℃。能溶于苯、乙醇、乙醚、难溶于氯仿、石油醚。 用途
用于生产甾体激素药物和避孕药的主要原料 生产方法
由胆甾醇、豆甾醇、薯蓣皂苷等的17位侧链分解制得。 类别
有毒物品 可燃性危险特性
可燃; 燃烧产生刺激烟雾 储运特性
库房通风低温干燥 灭火剂
干粉、泡沫、砂土、二氧化碳,雾状水 安全信息
| 危险品标志 | Xi,T,F |
|---|---|
| 危险类别码 | 36/37/38-39/23/24/25-23/24/25-11 |
| 安全说明 | 26-36-24/25-45-36/37-16-7 |
| 危险品运输编号 | UN1230 - class 3 - PG 2 - Methanol, solution |
| WGK Germany | 2 |
| RTECS号 | BV8396000 |
| 危险等级 | 9 |
| 海关编码 | 29372900 |
| 存储类别 | 11 - 可燃固体 |
| 危险性类别 | 生殖毒性 类别2 |
甲醇中脱氢异雄酮溶液标准物质 价格(试剂级)
| 报价日期 | 产品编号 | 产品名称 | CAS号 | 包装 | 价格 |
|---|---|---|---|---|---|
| 2025-12-22 | HY-14650 | 去氢表雄酮 | 53-43-0 | 100mg | 500 |
| 2025-12-22 | HY-14650 | 去氢表雄酮 | 53-43-0 | 10mM * 1mLin DMSO | 550 |
甲醇中脱氢异雄酮溶液标准物质供应商 更多
上海阿拉丁生化科技股份有限公司
联系电话:400-6206333 13167063860
产品介绍:
中文名称:甲醇中脱氢异雄酮溶液标准物质
英文名称:Dehydroepiandrosterone solution
CAS:53-43-0
品牌:阿拉丁生化 | 产品编号:D121747 | Purity:1.00mg/ml
上海阿拉丁生化科技股份有限公司
联系电话:400-6206333 13167063860
产品介绍:
中文名称:甲醇中脱氢异雄酮溶液标准物质
英文名称:Dehydroepiandrosterone solution
CAS:53-43-0
品牌:阿拉丁生化 | 产品编号:D121747 | Purity:1.00mg/ml
上海麦克林生化科技股份有限公司
联系电话: 15221275939
产品介绍:
中文名称:甲醇中脱氢异雄酮溶液标准物质
英文名称:Dehydroepiandrosterone solution
CAS:53-43-0
品牌:麦克林 | 产品编号:D808245 | Purity:1.00mg/ml
上海安谱实验科技股份有限公司
联系电话:18501792038; 18502138905
产品介绍:
中文名称:甲醇中脱氢表雄酮(DHEA)标准溶液
英文名称:Dehydroepiandrosterone (DHEA) in methanol
CAS:53-43-0
品牌:ANPEL | 产品编号:CDAA-S-280609-AD-1.2ml | Purity:1000ppm
广州和为医药科技有限公司
联系电话:17612033329 17612033329
产品介绍:
中文名称:甲醇中脱氢异雄酮溶液标准物质
英文名称:Dehydroepiandrosterone solution
CAS:53-43-0
纯度:0.99 | 包装信息:2.5G;5G;10G;25G;100G
去氢表雄酮生产厂家及价格列表
甲醇中脱氢异雄酮溶液标准物质
广州和为医药科技有限公司
2026-03-03
去氢表雄酮|脱氢表雄甾酮|53-43-0生产厂家
湖北弘景化工有限公司
2026-04-01