间苯二酚标准溶液
间苯二酚标准溶液
中文名称:间苯二酚标准溶液
英文名称:Resorcinol
CAS号:108-46-3
分子式:C6H6O2
分子量:110.11
EINECS号:203-585-2
Mol文件:108-46-3.mol
间苯二酚标准溶液 性质
| 熔点 | 109-112 °C(lit.) |
|---|---|
| 沸点 | 281 °C |
| 密度 | 1.27 |
| 堆积密度 | 600-700kg/m3 |
| 蒸气密度 | 3.8 (vs air) |
| 蒸气压 | 1 mm Hg ( 21.1 °C) |
| FEMA | 3589 | RESORCINOL |
| 折射率 | 1.5781 |
| 闪点 | 340 °F |
| 储存条件 | Store below +30°C. |
| 溶解度 | H2O:1Mat20°C,clear,淡黄色 |
| 形态 | 液体 |
| 酸度系数(pKa) | 9.81(at 25℃) |
| 色指数 | 76505 |
| 颜色 | 白色 |
| 气味 (Odor) | 1.00% 的丙二醇溶液。坚果味 |
| PH值 | 4-6 (100g/l, H2O, 20℃) |
| 爆炸极限值(explosive limit) | 1.4%(V) |
| 香型 | nutty |
| 生物来源 | synthetic |
| 水溶解性 | 140 g/100 mL |
| 敏感性 | Light Sensitive |
| Merck | 14,8155 |
| JECFA Number | 712 |
| BRN | 906905 |
| Henry's Law Constant | 1.0×105 mol/(m3Pa) at 25℃, Duchowicz et al. (2020) |
| 暴露限值 | TLV-TWA 10 ppm (~45 mg/m3) (ACGIH); STEL 20 ppm (ACGIH). |
| 介电常数 | 3.2(0.0℃) |
| 稳定性 | 稳定的。与强氧化剂不相容。暴露在空气或光线下可能会变色。 |
| 化妆品成分功效 | HAIR DYEING ANTIOXIDANT PERFUMING DENATURANT |
| InChI | 1S/C6H6O2/c7-5-2-1-3-6(8)4-5/h1-4,7-8H |
| InChIKey | GHMLBKRAJCXXBS-UHFFFAOYSA-N |
| SMILES | Oc1cccc(O)c1 |
| LogP | 0.8 at 20℃ |
| CAS 数据库 | 108-46-3(CAS DataBase Reference) |
| (IARC)致癌物分类 | 3 (Vol. 15, Sup 7, 71) 1999 |
| NIST化学物质信息 | Resorcinol(108-46-3) |
| EPA化学物质信息 | Resorcinol (108-46-3) |
间苯二酚标准溶液 用途与合成方法
间苯二酚俗称“雷锁辛“。本品具有杀菌、杀霉菌和止痒作用,其杀菌作用为苯酚的1/3,其刺激性和腐蚀性也较小。低浓度有促进角质新生的作用,高浓度有角质剥离作用。
图为间苯二酚立体结构式。
(1)与钠汞齐、水反应,生产二氢间苯二酚(1,3-环己二酮)。

(2)与酸酐成酯。

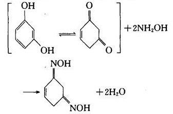
(3)以双酮型与羟胺反应成肟。

(4)在浓硫酸或氯化锌作用下与领苯二甲酸酐反应,生成荧光染料--荧光黄。

本条信息由ChemicalBook的侍艳编辑整理。 1%~2%浓度具有防腐、杀菌、杀真菌、收敛、止痒和角质促成作用,5%~20%浓度具有角质溶解作用,能使角质层剥脱,40%浓度则有腐蚀作用。可经皮肤或溃疡面吸收。 用于脂溢性皮炎、痤疮、浅部皮肤真菌感染、花斑癣、胼胝、鸡眼、寻常疣的治疗。 1、可引起接触性皮炎,对皮肤、粘膜有弱的刺激性,本品如经破损的皮肤和创面大量吸收,可导致黏液性水肿。
2、因本品可以经皮肤或溃疡面吸收,在婴儿和幼儿不宜高浓度、大面积使用。
3、中毒症状有腹泻、恶心、呕吐、胃痛、头晕、剧烈或持续头痛、疲乏或软弱、易激动或烦躁、昏沉思睡、盗汗、心动过缓、呼吸短促。
4、儿童在伤口上应用本品可发生正铁血红蛋白血症。
5、由于本品有抗甲状腺作用,全身反应类似苯酚中毒,但常可发生惊厥。 最早的间苯二酚是由天然树脂蒸馏或碱熔制得的,现在大多采用苯磺酸用发烟硫酸磺化生成间苯二磺酸,再经中和、氢氧化钠碱熔、酸化、萃取及蒸馏得到。此外,间苯二酚的制取方法还有:
1. 间碘苯酚、间羟基苯磺酸与碳酸钾共熔;
2. 亚硝酸与间氨基苯酚作用;
3. 间二硝基苯加氢制得间二苯胺,再与盐酸反应水解;
4. 用苯和丙烯采取过氧化二异丙苯法生产,过程与异丙苯法类似。 1、可使淡色发染黑,用药后数天内可使皮肤发红和脱屑,需慎用本品。
2、皮肤黝黑患者,因可刺激色素生成。
3、与肥皂、清洁剂、痤疮制剂、含有酒精制剂或维A酸等共用,可引起皮肤过度刺激或干燥作用。
4、有抗甲状腺作用,长期应用(特别应用在溃疡面上)可导致黏液性水肿。
5、本品有毒,本品不可全身使用或长期使用,皮肤破损伤口处不宜涂搽,以免吸收中毒。 目前测定间苯二酚的方法主要有分光光度法、动力学荧光法、高效液相色谱法、毛细管电泳法等。 GRAS(FEMA)。 FEMA(mg/kg):焙烤制品15.0;肉制品、汤料、调味品、肉羹,5.0;小吃食品、家用调味香料,10.0。
▼
▲
添加剂中文名称
允许使用该种添加剂的食品中文名称
添加剂功能
最大允许使用量(g/kg)
最大允许残留量(g/kg)
间苯二酚
食品
食品用香料
用于配制香精的各香料成分不得超过在GB 2760中的最大允许使用量和最大允许残留量
化学性质
白色针晶。暴露于光和空气或与铁接触变为粉红色,有甜味。 溶于水、乙醇、戊醇,易溶于乙醚、甘油,微溶于氯仿、二硫化碳,略溶于苯。 用途
间苯二酚又名1,3-苯二酚,俗名雷锁辛(resorcinol)。在农药上用于合成杀虫剂蝇毒磷的中间体3-氯-4-甲基香豆素和除草剂乙氧氟草醚,也可用于制造多种染料、特种涂料、医药、感光材料、合成树脂、胶黏剂、化妆品等。 用途
用于感光胶片、医药、染料和化纤工业 用途
用作分析试剂 用途
间苯二酚主要用于橡胶粘合剂、合成树脂、染料、防腐剂、医药和分析试剂等主面,间苯二酚与苯酚、甲酚相似,与甲醛生成缩聚物,可用于制粘胶丝及尼龙用的轮胎帘子线粘结剂,制备木材胶合剂,用于乙烯基材料与金属的粘合,间苯二酚是许多偶氮染料、毛皮染料的中间体,也是医药中间体对氮基水杨酸的原料。间苯二酚具有杀菌作用,可用作防腐剂,添中于化妆品和皮肤病药物糊剂及软膏等。间苯二酚的衍生物β-甲基伞形酮是光学漂白剂的中间体、三硝基间苯二酚是雷管引爆剂,还有相当数量的间苯二酚用于生产二苯甲酮类紫外线吸收剂。本品能刺激皮肤及粘膜,可经皮肤迅整吸收引起中毒症症。大鼠皮下注射的最低致死量为450mg/kg。 用途
检定和比色测定锌、铅、酒石酸、硝酸盐和亚硝酸盐, 比色测定糠醇和糖, 检验酮糖、木质素的试剂, 重氮化合物盐类试剂, 有机合成。 生产方法
1.苯磺酸用发烟硫酸磺化、中和,再经碱熔、酸化、正丁醇萃取、蒸去溶剂后,经蒸馏而得成品。2.由间二硝基苯加氢制得间苯二胺,再由间苯二胺水解制得。3.间氨基苯酚水解制得。间苯二酚也可以由苯和丙烯采用二异丙苯过氧化法来生产,该法与异丙苯法制苯酚相似。 生产方法
间苯二酚的制备方法较多,如苯磺化碱熔法、间苯二酚与苯酚联产法、间苯二胺法、间二异丙苯法、间氨基苯酚水解法等。苯磺化碱熔法以苯为原料,经磺化得间苯二磺酸,再经中和碱熔、酸化而得。将苯、65%发烟硫酸和硫酸钠分别加入反应器中,控制反应温度在75℃,得磺化物。然后向此磺化物中加入无水硫酸钠,搅拌加热至175℃使其溶解,在此温度下加入三氧化硫,再反应1.5h,得二磺化物(苯二磺酸含量75%)。将二磺化物用稀碱液中和,并除去过量的硫酸盐后,所得苯二磺酸钠盐在290℃下逐渐加到熔化的氢氧化钠中,在15min内升温至325℃,而后将碱熔物溶于水,用硫酸酸化,再用乙醚萃取,蒸出溶剂,即得间苯二酚成品。
类别
有毒物品 毒性分级
高毒 急性毒性
口服-大鼠LD50: 301 毫克/公斤;口服-小鼠LD50: 200 毫克/公斤 刺激数据
皮肤-兔子 20毫克/24小时 中度; 眼睛-兔子100 毫克 重度 爆炸物危险特性
与空气混合可爆 可燃性危险特性
可燃; 燃烧产生有毒氯化物刺激烟雾 储运特性
库房通风低温干燥; 与氧化剂分开存放 灭火剂
二氧化碳、泡沫、雾状水。 职业标准
TWA 45 毫克/立方米; STEL 90 毫克/立方米 安全信息
| 危险品标志 | Xn,N |
|---|---|
| 危险类别码 | 22-36/38-50-50/53-41-38 |
| 安全说明 | 26-61-39 |
| 职业暴露等级 | A |
| 职业暴露限值 | TWA: 10 ppm (45 mg/m3), STEL: 20 ppm (90 mg/m3) |
| 危险品运输编号 | UN 2876 |
| WGK Germany | 2 |
| RTECS号 | VG9625000 |
| F | 3-8-9-23 |
| 自燃温度 | 605 °C |
| TSCA | TSCA listed |
| 海关编码 | 2907 21 00 |
| 危险等级 | 6.1 |
| 包装类别 | III |
| 存储类别 | 6.1C - 可燃,急性毒性 类别3 毒性化合物或者引起慢性影响的化合物 |
| 危险性类别 | 急性毒性 类别4 经口 危害水生环境-急性危害 类别1 危害水生环境-长期危害 类别3 严重眼损伤 类别1 经皮刺激 类别2 皮肤致敏物 类别1B 特异性靶器官毒性-一次接触.类别1 经口 特异性靶器官毒性-一次接触, 类别2 经口 |
| 毒害物质数据 | 108-46-3(Hazardous Substances Data) |
| 毒性 | LD50 orally in Rabbit: 301 mg/kg LD50 dermal Rabbit 3360 mg/kg |
MSDS信息
语言:Chinese
提供商:间苯二酚
语言:English
提供商:SigmaAldrich
语言:English
提供商:ACROS
语言:Chinese
提供商:ALFA
语言:English
提供商:ALFA
间苯二酚标准溶液 化学药品说明书
间苯二酚标准溶液 价格(试剂级)
| 报价日期 | 产品编号 | 产品名称 | CAS号 | 包装 | 价格 |
|---|---|---|---|---|---|
| 2026-03-03 | A13080 | 间苯二酚, 99% | 108-46-3 | 250g | 485 |
| 2026-03-03 | 036248 | 间苯二酚, ACS, 99.0-100.5% | 108-46-3 | 500g | 3301 |
间苯二酚标准溶液 上下游产品信息
上游原料
下游产品
间亚苯基二苯甲酸酯荧光素异硫氰酸荧光素色甘酸钠乙胺香豆素盐酸盐2,4-二羟基苯甲酸8-乙酰基-7-羟基-4-甲基-2H-1-苯并吡喃-2-酮4-己基间苯二酚弱酸性红棕 V5-氨基荧光素7-乙酰氧基-4-甲基香豆素丁苯吡胶乳酸性棕3543-氯-4-甲基-7-羟基香豆素3-乙氧基苯酚甲基伞形酮间羟基二苯胺1-[4-(苯甲酰氧基)-2-羟基苯基]-3-苯基-1,3-丙二酮酸性棕 75吲哚洛尔3-苄氧基苯酚1-[2,4-双(苯甲酰氧基)苯基]乙酮2',4'-二羟基苯己酮4-氧杂-4,5,6,7-四氢苯并[B]呋喃-3-羧酸汞溴红偶氧紫1,5,6,7-四氢-4H-吲哚-4-酮对甲基间羟基二苯胺2,4-二亚硝基间苯二酚4-氯间苯二酚J-20胶紫外线吸收剂BP-42,2'-羟基-4-甲氧基二苯甲酮酸性棕 14回苏灵2,4-二羟基苯丙酮苯螨特
间苯二酚标准溶液供应商 更多
上海科醚化学科技有限公司
联系电话:021-58690851 15690882017
产品介绍:
中文名称:间苯二酚标准溶液
英文名称:Resorcinol
CAS:108-46-3
品牌:Chemicell/科米赛尔 | 产品编号:C014089 | Purity:1000μg/ml(溶剂:MeOH)
上海源叶生物科技有限公司
联系电话:021-61312847; 18021002903
产品介绍:
中文名称:间苯二酚标准溶液
英文名称:Resorcinol solution
CAS:108-46-3
品牌:源叶 | 产品编号:W13491 | Purity:分析标准品, 1000ug/ml in methanol
上海阿拉丁生化科技股份有限公司
黄金产品
联系电话:400-6206333 13167063860
产品介绍:
中文名称:间苯二酚标准溶液
英文名称:Resorcinol solution
CAS:108-46-3
品牌:阿拉丁生化 | 产品编号:R111664 | Purity:分析标准品, 1000ug/ml in methanol
上海麦克林生化科技股份有限公司
联系电话: 15221275939
产品介绍:
中文名称:间苯二酚标准溶液
英文名称:Resorcinol solution
CAS:108-46-3
品牌:麦克林 | 产品编号:R817304 | Purity:1000μg/ml,溶剂:甲醇
上海易恩化学技术有限公司
联系电话:400-400-1332688 18019345275
产品介绍:
中文名称:间苯二酚标准溶液
英文名称:Resorcinol
CAS:108-46-3
品牌:罗恩试剂 | 产品编号:R006510 | Purity:1000μg/ml(溶剂:MeOH)
间苯二酚标准溶液新闻专题 更多
2023-10-12
间苯二酚-甲醛树脂的应用进展
2022-10-08
间苯二酚衍生物与美白
2021-09-08
间苯二酚的萃取方法和浓度测定方法
2021-03-04
间苯二酚的制备
2020-11-06
间苯二酚对人有危害吗

