霉酚酸酯
中文名称:霉酚酸酯
英文名称:Mycophenolate mofetil
CAS号:115007-34-6
分子式:C23H31NO7
分子量:433.49
EINECS号:680-628-5
Mol文件:115007-34-6.mol
霉酚酸酯 性质
| 溶解度 | 几乎不溶于水,易溶于丙酮,微溶于无水乙醇。 |
|---|---|
| BCS Class | 2 |
| InChI | InChI=1S/C23H31NO7/c1-15(5-7-19(25)30-13-10-24-8-11-29-12-9-24)4-6-17-21(26)20-18(14-31-23(20)27)16(2)22(17)28-3/h4,26H,5-14H2,1-3H3/b15-4+ |
| InChIKey | RTGDFNSFWBGLEC-SYZQJQIISA-N |
| SMILES | C12COC(=O)C=1C(O)=C(C/C=C(\C)/CCC(=O)OCCN1CCOCC1)C(OC)=C2C |
| CAS 数据库 | 115007-34-6(CAS DataBase Reference) |
霉酚酸酯 用途与合成方法
吗替麦考酚酯又称霉酚酸酯(MMF),商品名骁悉(Cellcept),由美国Syntex公司研制开发,为霉菌Penicillin glaucum酵解物中分离出的霉酚酸(MPA)半合成衍生物。吗替麦考酚酯为可复性细胞抑制剂,其实临床应用已10余年,主要用于治疗银屑病。20世纪80年代末,器官移植动物实验证实其可显著延长啮齿类及犬同种异体移植肾、心脏和胰岛等的存活时间。Sollinger等首次成功地将MMF应用于肾移植抗排斥反应治疗,治疗效果显著。FDA于1995年批准其正式注册,商品名为Cellcept,从而使临床应用中又增添了一个新的有效的预防和治疗排斥反应的免疫抑制剂。 吗替麦考酚酯口服后,在上消化道快速吸收。主要吸收部位在胃,并被血浆脂酶代谢为具有药理活性的产物酶酚酸(MPA),平均生物利用度为94%。服药1小时后血药浓度迅速达到高峰,之后快速下降。MPA在肝脏经葡萄糖醛酸化代谢为稳定的、无药理活性的葡萄糖醛酸苷(MPAG),从尿液中排泄。在肠道经胆汁排泄的MPAG进入小肠,肠道菌群的葡萄糖苷酶将其转化为MPA,经肠道再吸收,形成肠肝循环,出现第二个血浆MPA高峰(服用后6~12小时)。约6% 的MPAG由粪便排出。
其在体内经水解代谢活化,非竞争性抑制单磷酸次黄嘌呤脱氢酶,阻断鸟嘌呤核苷酸合成,从而发挥其对淋巴细胞的免疫抑制效应,T淋巴细胞及B淋巴细胞均显著受其影响。 主要用于预防同种异体的器官排斥反应。以肾移植为主,也适用于心脏、肝脏移植尤其是移植后的难治性排异反应。可以与环孢素和皮质类固醇同时应用。也可应用于类风湿关节炎、全身性红斑狼疮、原发性肾小球肾炎、牛皮癣等自身免疫性疾病。口服: 肾脏移植: 初始剂量为一日2~3mg/kg,维持剂量为一日1~2mg/kg,分2~3次服用。可根据病情适当调整。类风湿关节炎:一日300mg。
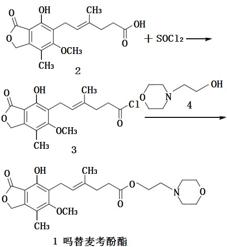
有关吗替麦考酚酯的概述、药理学特点、用途、合成等是由Chemicalbook的侍艳编辑整理。(2015-11-02) 以麦考酚酸(2) 为起始原料,经氯化亚砜进行酰氯化反应,再与4-(2-羟乙基)吗啉(4)进行酯化反应生成吗替麦考酚酯(1)。

图1为吗替麦考酚酯合成
是以(2) 与(4) 为起始原料,选用正丁醚或正戊醚作溶剂,经共沸脱水直接制备出(1) 。

图2为吗替麦考酚酯合成
上述两种工艺,方法二因使用正丁醚或正戊醚作溶剂,生产成本较高。方法一虽然有两步反应,但第一步酰氯产物不用处理即可直接用于下步反应,最后产物只需重结晶即得纯品。 1.器官移植
器官移植( organ transplantation) 是将供者健康的器官移植到另一个人体内使之迅速恢复功能的手术。器官移植的最大威胁是排斥反应,主要表现为急性排斥,尽管目前已经有了较成熟的免疫抑制方案,包括环孢素A、硫唑嘌呤、他克莫司、环磷酰胺、泼尼松和甲泼尼龙等药物的联合治疗,但每年仍有相当数量的移植患者发生排斥反应,最终导致慢性排斥反应和移植失败。另外,免疫抑制药物的不良反应也使其临床应用受到了一定的限制。1995 年,人们成功地将吗替麦考酚酯用于器官移植、术后预防和治疗移植物排斥反应,同年5月,FDA批准吗替麦考酚酯应用于肾移植的治疗,于1996年首次成功地应用于肾移植患者。继之研究者发现,吗替麦考酚酯与环孢素及泼尼松联合应用可减少肾移植后急性排异反应的发生,对难治性肾移植排异反应也有较好疗效。吗替麦考酚酯单独使用可作为一种长期维持治疗的免疫抑制剂,可改善肾功能,对接受肾功能较差的老年供体者尤为有益。
2.免疫性肾病
免疫性肾病是一组由多种病因引起的具有相同免疫病理学特征的慢性肾小球疾病。免疫性肾病包括紫癜性肾炎、难治性肾病综合征、原发性肾病综合征、狼疮性肾炎、IgA肾病等,由于患者的免疫系统功能紊乱,产生的免疫复合物沉积在肾脏中,对肾脏的固有细胞造成损伤,引发炎症反应等,破坏肾脏固有细胞的正常功能而使患者出现蛋白尿、血尿、水肿等症状。
3.消化系统自身免疫性疾病
(1)自身免疫性肝病 自身免疫性肝病( autoimmuneliver diseases,ALD) 是由自身免疫反应介导的慢性进行性肝脏疾病。ALD患者中有20%对激素和硫唑嘌呤不敏感,长期无合适的治疗方法。研究表明,研究者认为,对传统治疗方法无效的ALD患者来说,88%患者应用吗替麦考酚酯有好转,吗替麦考酚酯应用可以明显减少激素用量。
(2)自身免疫性胰腺炎 自身免疫性胰腺炎( autoimmunepancreatitis,AIP) 是胰腺对自身成分作为抗原由CD4 阳性的辅助细胞的识别产生免疫应答的结果而造成胰腺的炎症性病变。吗替麦考酚酯应用于激素依赖型IgG4介导的自身免疫性胰腺炎和IgG4介导的胆管炎患者,该患者最初使用泼尼松40mg/d,症状改善。激素减量至10mg/d时,出现黄疸、转氨酶升高和高胆红素血症等活动症状,加用硫唑嘌呤,患者不能耐受其不良反应。随后应用吗替麦考酚酯750mg,2 次/d,合用泼尼松15mg。3 个月后出现高血糖等激素相关不良反应,遂停用泼尼松,将吗替麦考酚酯加量至1g/次,2次/d,4个月后患者能量代谢和血糖均得到显著改善,且未见任何药物不良反应。吗替麦考酚酯的应用解决了患者不能应用激素的问题。提示吗替麦考酚酯或其他免疫抑制剂可以用来维持或改善自身免疫性胰腺炎。
4.其他疾病
(1)难治性特发性血小板减少性紫癜特发性血小板减少性紫癜( idiopathic thrombocrtopenic purpurc,ITP) 是一种常见的自身免疫性出血性疾病,其发病机制复杂,治疗难度较大,传统治疗方法通常采用糖皮质激素,虽然大多数患者对糖皮质激素有效,但仍有一部分患者效果欠佳,称为难治性特发性血小板减少性紫癜(refractory idiopathic thrombocytopenic purpura,R-ITP) 。吗替麦考酚酯作为一种新型免疫抑制剂,其不良反应少,是R-ITP治疗的一种有效手段,具有广阔的临床应用前景。
(2)银屑病银屑病(psoriasis) 俗称牛皮癣,其特征是皮肤出现大小不等的丘疹、红斑,表面覆盖着银白色鳞屑,边界清楚,好发于头皮、四肢伸侧及背部。其病因尚未明确,近年来多数学者认为,与遗传、感染、代谢障碍、免疫功能障碍、内分泌失调和环境等有关。研究表明甲氨蝶呤和吗替麦考酚酯治疗银屑病的安全性和疗效未见明显差异,但吗替麦考酚酯具有更好的安全性,不能耐受甲氨蝶呤不良反应或具有禁忌证患者可以选用吗替麦考酚酯。
(3)重症肌无力重症肌无力(myasthenia gravis,MG) 是一种慢性自身免疫性疾病,因神经与肌肉接头间传导功能障碍所引起。免疫抑制剂对治疗MG 具重要作用,其主要机制是通过抑制有关自身抗体形成而减少胆碱能受体或相关受体的破坏,保护神经兴奋传导途径的畅通性,从而改善患者的肌无力症状。与其他免疫抑制剂相比,吗替麦考酚酯副作用较小。 MMF口服后迅速大量吸收,经肠壁、肝脏及其他组织脱酯化,迅速转化为有活性作用的MPA。口服平均生物利用度为静脉注射的94% ( 根据MPA曲线下面积),正常人口服后在循环中测不出MMF。从原药裂解出来后,MPA在肝脏内通过葡萄糖醛酸转移酶代谢形成失活的麦考酚酸葡萄糖苷酸。口服1h后MPA药物浓度达高峰,由于肝肠循环作用,服药后6~12h将出现第二个血浆MPA 高峰。其生物半衰期为16~18h,在临床有效浓度下,97% 的MPA与血浆蛋白结合。MMF有极少量( < 1%) 以MPA原形从尿液排出,多数(87%) 以麦考酚酸葡萄糖苷酸的形式从尿液排出,约6% 从粪便排泄。MMF的吸收与肝功能密切相关,肝功能越差者吸收越少。 主要有高血压、心房颤动、直立性低血压、心动过速、血栓形成、血管扩张,头痛、头晕、失眠、焦虑,高胆固醇血症、血糖改变、钾、钙代谢紊乱、酸中毒、碱性磷酸酶升高、肌酸酐增加、高脂血症、甲状旁腺功能失调,恶心呕吐、消化不良、肝功异常等。骨髓抑制常见,中性粒细胞减少严重时应停药。真菌性皮炎、皮疹。弱视、白内障、结膜炎发生率在3%~10%之间。 1.禁忌证 对本药或霉酚酸(MPA) 过敏者、孕妇及哺乳妇女禁用。
2.慎用 严重的活动性消化性疾病者,骨髓抑制者,伴有次黄嘌呤-鸟嘌呤转磷酸核糖激酶遗传缺陷者,严重心肝肾功能不全者。
其在体内经水解代谢活化,非竞争性抑制单磷酸次黄嘌呤脱氢酶,阻断鸟嘌呤核苷酸合成,从而发挥其对淋巴细胞的免疫抑制效应,T淋巴细胞及B淋巴细胞均显著受其影响。 主要用于预防同种异体的器官排斥反应。以肾移植为主,也适用于心脏、肝脏移植尤其是移植后的难治性排异反应。可以与环孢素和皮质类固醇同时应用。也可应用于类风湿关节炎、全身性红斑狼疮、原发性肾小球肾炎、牛皮癣等自身免疫性疾病。口服: 肾脏移植: 初始剂量为一日2~3mg/kg,维持剂量为一日1~2mg/kg,分2~3次服用。可根据病情适当调整。类风湿关节炎:一日300mg。
有关吗替麦考酚酯的概述、药理学特点、用途、合成等是由Chemicalbook的侍艳编辑整理。(2015-11-02) 以麦考酚酸(2) 为起始原料,经氯化亚砜进行酰氯化反应,再与4-(2-羟乙基)吗啉(4)进行酯化反应生成吗替麦考酚酯(1)。

图1为吗替麦考酚酯合成
是以(2) 与(4) 为起始原料,选用正丁醚或正戊醚作溶剂,经共沸脱水直接制备出(1) 。

图2为吗替麦考酚酯合成
上述两种工艺,方法二因使用正丁醚或正戊醚作溶剂,生产成本较高。方法一虽然有两步反应,但第一步酰氯产物不用处理即可直接用于下步反应,最后产物只需重结晶即得纯品。 1.器官移植
器官移植( organ transplantation) 是将供者健康的器官移植到另一个人体内使之迅速恢复功能的手术。器官移植的最大威胁是排斥反应,主要表现为急性排斥,尽管目前已经有了较成熟的免疫抑制方案,包括环孢素A、硫唑嘌呤、他克莫司、环磷酰胺、泼尼松和甲泼尼龙等药物的联合治疗,但每年仍有相当数量的移植患者发生排斥反应,最终导致慢性排斥反应和移植失败。另外,免疫抑制药物的不良反应也使其临床应用受到了一定的限制。1995 年,人们成功地将吗替麦考酚酯用于器官移植、术后预防和治疗移植物排斥反应,同年5月,FDA批准吗替麦考酚酯应用于肾移植的治疗,于1996年首次成功地应用于肾移植患者。继之研究者发现,吗替麦考酚酯与环孢素及泼尼松联合应用可减少肾移植后急性排异反应的发生,对难治性肾移植排异反应也有较好疗效。吗替麦考酚酯单独使用可作为一种长期维持治疗的免疫抑制剂,可改善肾功能,对接受肾功能较差的老年供体者尤为有益。
2.免疫性肾病
免疫性肾病是一组由多种病因引起的具有相同免疫病理学特征的慢性肾小球疾病。免疫性肾病包括紫癜性肾炎、难治性肾病综合征、原发性肾病综合征、狼疮性肾炎、IgA肾病等,由于患者的免疫系统功能紊乱,产生的免疫复合物沉积在肾脏中,对肾脏的固有细胞造成损伤,引发炎症反应等,破坏肾脏固有细胞的正常功能而使患者出现蛋白尿、血尿、水肿等症状。
3.消化系统自身免疫性疾病
(1)自身免疫性肝病 自身免疫性肝病( autoimmuneliver diseases,ALD) 是由自身免疫反应介导的慢性进行性肝脏疾病。ALD患者中有20%对激素和硫唑嘌呤不敏感,长期无合适的治疗方法。研究表明,研究者认为,对传统治疗方法无效的ALD患者来说,88%患者应用吗替麦考酚酯有好转,吗替麦考酚酯应用可以明显减少激素用量。
(2)自身免疫性胰腺炎 自身免疫性胰腺炎( autoimmunepancreatitis,AIP) 是胰腺对自身成分作为抗原由CD4 阳性的辅助细胞的识别产生免疫应答的结果而造成胰腺的炎症性病变。吗替麦考酚酯应用于激素依赖型IgG4介导的自身免疫性胰腺炎和IgG4介导的胆管炎患者,该患者最初使用泼尼松40mg/d,症状改善。激素减量至10mg/d时,出现黄疸、转氨酶升高和高胆红素血症等活动症状,加用硫唑嘌呤,患者不能耐受其不良反应。随后应用吗替麦考酚酯750mg,2 次/d,合用泼尼松15mg。3 个月后出现高血糖等激素相关不良反应,遂停用泼尼松,将吗替麦考酚酯加量至1g/次,2次/d,4个月后患者能量代谢和血糖均得到显著改善,且未见任何药物不良反应。吗替麦考酚酯的应用解决了患者不能应用激素的问题。提示吗替麦考酚酯或其他免疫抑制剂可以用来维持或改善自身免疫性胰腺炎。
4.其他疾病
(1)难治性特发性血小板减少性紫癜特发性血小板减少性紫癜( idiopathic thrombocrtopenic purpurc,ITP) 是一种常见的自身免疫性出血性疾病,其发病机制复杂,治疗难度较大,传统治疗方法通常采用糖皮质激素,虽然大多数患者对糖皮质激素有效,但仍有一部分患者效果欠佳,称为难治性特发性血小板减少性紫癜(refractory idiopathic thrombocytopenic purpura,R-ITP) 。吗替麦考酚酯作为一种新型免疫抑制剂,其不良反应少,是R-ITP治疗的一种有效手段,具有广阔的临床应用前景。
(2)银屑病银屑病(psoriasis) 俗称牛皮癣,其特征是皮肤出现大小不等的丘疹、红斑,表面覆盖着银白色鳞屑,边界清楚,好发于头皮、四肢伸侧及背部。其病因尚未明确,近年来多数学者认为,与遗传、感染、代谢障碍、免疫功能障碍、内分泌失调和环境等有关。研究表明甲氨蝶呤和吗替麦考酚酯治疗银屑病的安全性和疗效未见明显差异,但吗替麦考酚酯具有更好的安全性,不能耐受甲氨蝶呤不良反应或具有禁忌证患者可以选用吗替麦考酚酯。
(3)重症肌无力重症肌无力(myasthenia gravis,MG) 是一种慢性自身免疫性疾病,因神经与肌肉接头间传导功能障碍所引起。免疫抑制剂对治疗MG 具重要作用,其主要机制是通过抑制有关自身抗体形成而减少胆碱能受体或相关受体的破坏,保护神经兴奋传导途径的畅通性,从而改善患者的肌无力症状。与其他免疫抑制剂相比,吗替麦考酚酯副作用较小。 MMF口服后迅速大量吸收,经肠壁、肝脏及其他组织脱酯化,迅速转化为有活性作用的MPA。口服平均生物利用度为静脉注射的94% ( 根据MPA曲线下面积),正常人口服后在循环中测不出MMF。从原药裂解出来后,MPA在肝脏内通过葡萄糖醛酸转移酶代谢形成失活的麦考酚酸葡萄糖苷酸。口服1h后MPA药物浓度达高峰,由于肝肠循环作用,服药后6~12h将出现第二个血浆MPA 高峰。其生物半衰期为16~18h,在临床有效浓度下,97% 的MPA与血浆蛋白结合。MMF有极少量( < 1%) 以MPA原形从尿液排出,多数(87%) 以麦考酚酸葡萄糖苷酸的形式从尿液排出,约6% 从粪便排泄。MMF的吸收与肝功能密切相关,肝功能越差者吸收越少。 主要有高血压、心房颤动、直立性低血压、心动过速、血栓形成、血管扩张,头痛、头晕、失眠、焦虑,高胆固醇血症、血糖改变、钾、钙代谢紊乱、酸中毒、碱性磷酸酶升高、肌酸酐增加、高脂血症、甲状旁腺功能失调,恶心呕吐、消化不良、肝功异常等。骨髓抑制常见,中性粒细胞减少严重时应停药。真菌性皮炎、皮疹。弱视、白内障、结膜炎发生率在3%~10%之间。 1.禁忌证 对本药或霉酚酸(MPA) 过敏者、孕妇及哺乳妇女禁用。
2.慎用 严重的活动性消化性疾病者,骨髓抑制者,伴有次黄嘌呤-鸟嘌呤转磷酸核糖激酶遗传缺陷者,严重心肝肾功能不全者。
霉酚酸酯 价格(试剂级)
| 更新日期 | 产品编号 | 产品名称 | CAS号 | 包装 | 价格 |
|---|---|---|---|---|---|
| 2025-09-19 | 45937 | 吗替麦考酚酯 | 115007-34-6 | 5g | 431 |
| 2025-05-22 | 45937 | 吗替麦考酚酯 | 115007-34-6 | 1g | 262 |
霉酚酸酯供应商 更多
台州市鸿耀化工有限公司
现货
联系电话:576-88666163 15057600339
产品介绍:
中文名称:霉酚酸酯
英文名称:Mycophenolate mofetil
CAS:115007-34-6
纯度:98.5% | 包装信息:3000/KG | 备注:医药级
库存量:>100g
现货日期:2026/4/13 13:25:40
北大医药重庆大新药业股份有限公司
联系电话:023-61301919 0086-23-61301919
产品介绍:
中文名称:霉酚酸酯
英文名称:Mycophenolate mofetil
CAS:115007-34-6
上海皓鸿生物医药科技有限公司
联系电话:400-8210725 4008210725
产品介绍:
中文名称:霉酚酸酯乙酯
英文名称:Ethyl Mycophenolate
CAS:32483-51-5
品牌:乐研试剂 | 产品编号:LY-TRCE923345
湖北鑫红利化工有限公司
联系电话:027-027-59106151 15172325309
产品介绍:
中文名称:霉酚酸酯
英文名称:Mycophenolatemofetil
CAS:115007-34-6
纯度:99% HPLC | 包装信息:25KG;200KG;5KG;1KG;1T
山东迪贝克生物工程有限公司
联系电话:13854830608; 13854830608
产品介绍:
中文名称:霉酚酸酯
英文名称:Mycophenolate mofetil
CAS:115007-34-6
纯度:99% | 包装信息:25kg
霉酚酸酯新闻专题 更多
2024-04-07
吗替麦考酚酯的功效作用
2022-11-16
红斑狼疮治疗的新王者之剑——霉酚酸酯
2021-12-24
长期维持,预防复发——吗替麦考酚酯有效治疗脱髓鞘性视神经炎
2021-12-03
吗替麦考酚酯的临床应用及用药注意事项
2021-11-18
吗替麦考酚酯的合成方法