Basic information
Safety
Related
Supplier
my chemicalbook
En
中文
Sign in
Register
WWRRRRRRR
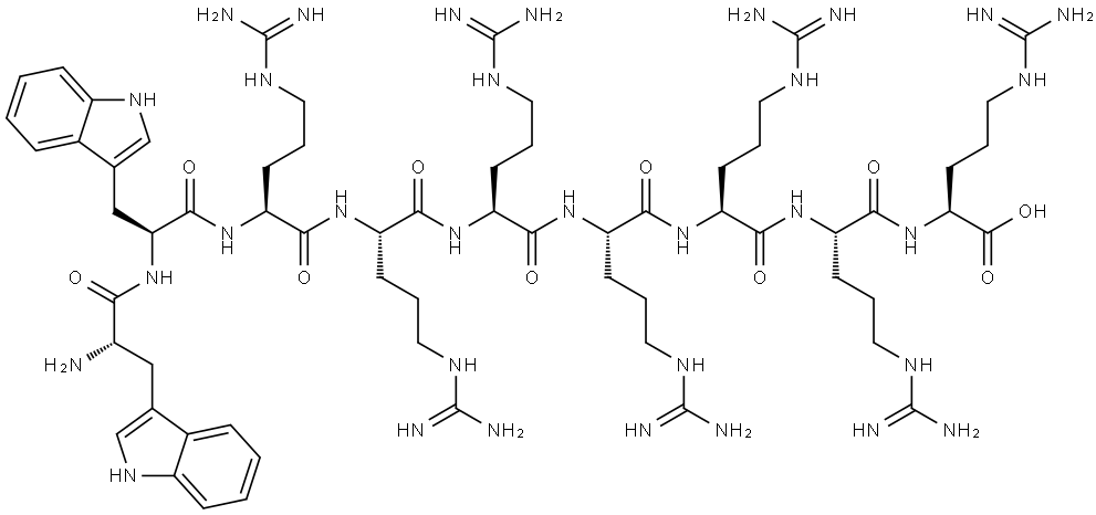
Product Name
WWRRRRRRR
CAS
1149494-74-5
MF
C64H106N32O10
MW
1483.74
EINECS
MOL File
1149494-74-5.mol
Chemical Properties
Density
1.56±0.1 g/cm3(Temp: 20 °C; Press: 760 Torr)(predicted)
WWRRRRRRR Supplier
Hangzhou Peptidego Biotech Co.,Ltd.
Tel
0571-87213919
Email
Eric@peptidego.com
Hangzhou Sinoda Pharmaceutical Technology Co. LTD
Tel
0571-87213919 17306812703
Email
3007955328@qq.com
PROMPT
×
PROMPT
The What'sApp is temporarily not supported in mainland China
Cancel
Determine
Send Inquriy
MSDS
|
CAS
|
CAS DataBase
|
Pricacy
|
Terms
|
About Us
|
New Products
|
Contact us
|
Computer Version
Chemical Book