二肉豆蔻酰磷脂酰胆碱(DMPC)
中文名称:二肉豆蔻酰磷脂酰胆碱(DMPC)
英文名称:1,2-DIMYRISTOYL-SN-GLYCERO-3-PHOSPHOCHOLINE
CAS号:18194-24-6
分子式:C36H72NO8P
分子量:677.93
EINECS号:242-085-9
Mol文件:18194-24-6.mol
二肉豆蔻酰磷脂酰胆碱(DMPC) 性质
| 熔点 | 220°C(lit.) |
|---|---|
| 储存条件 | -20°C |
| 溶解度 | 可溶于氯仿(少许)、甲醇(少许) |
| 形态 | 固体 |
| 颜色 | 白色至类白色 |
| BRN | 3921768 |
| 稳定性 | 稳定,但对热敏感,储存在 -20℃。与强氧化剂不相容。 |
| InChIKey | CITHEXJVPOWHKC-UUWRZZSWSA-N |
| SMILES | [C@@H](OC(=O)CCCCCCCCCCCCC)(COC(=O)CCCCCCCCCCCCC)COP([O-])(=O)OCC[N+](C)(C)C |&1:0,r| |
| CAS 数据库 | 18194-24-6(CAS DataBase Reference) |
二肉豆蔻酰磷脂酰胆碱(DMPC) 用途与合成方法
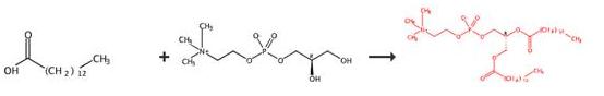
二肉豆蔻酰磷脂酰胆碱(DMPC)可用作生物化学与医药化学的中间体,可用于多肽类药物分子,维生素以及具有特定生物活性功能磷脂的合成。 往干燥的反应烧瓶中加入肉豆蔻酸,甘油磷酰胆碱,1-乙基-(3-二甲基氨基丙基)碳酰二亚胺盐酸盐以及4-二甲氨基吡啶,最后往上述混合物中加入N,N-二甲基甲酰胺作为反应溶剂,所得的反应混合物在室温下搅拌反应若干个小时,通过TLC点板监测反应进度,等待反应结束后,向反应混合物中加入乙酸乙酯和水萃取,将两相分离,水层用乙酸乙酯萃取三次,然后合并所有的有机层。合并的有机层用水,盐水各洗涤一次,然后将有机层用无水硫酸钠干燥,过滤除去干燥剂并将滤液在减压真空下浓缩即可得到目标产物分子二肉豆蔻酰磷脂酰胆碱(DMPC)。

二肉豆蔻酰磷脂酰胆碱(DMPC) 价格(试剂级)
| 更新日期 | 产品编号 | 产品名称 | CAS号 | 包装 | 价格 |
|---|---|---|---|---|---|
| 2025-12-22 | D3924 | 二肉豆蔻酰磷脂酰胆碱(DMPC) | 18194-24-6 | 100MG | 490 |
| 2025-12-22 | HY-109541 | 二肉豆蔻酰磷脂酰胆碱(DMPC) | 18194-24-6 | 100mg | 500 |
二肉豆蔻酰磷脂酰胆碱(DMPC)供应商 更多
苏州昊帆生物股份有限公司
联系电话:68417696 13962195629
产品介绍:
中文名称:DMPC 二肉豆蔻酰基卵磷脂
英文名称:1,2-Dimyristoyl-sn-glycero-3-phosphocholine
CAS:18194-24-6
纯度:99% TLC
包装信息:1g/;5g/
北京迈瑞达科技有限公司
黄金产品
联系电话:010-82387566 18001021521;
产品介绍:
中文名称:二肉豆蔻酰磷脂酰胆碱(DMPC)
英文名称:1,2-dimyristoyl-sn-glycero-3-phosphocholine(DMPC)
CAS:18194-24-6
纯度:99%+
包装信息:5g
苏州泽厚生物科技有限公司
黄金产品
联系电话:0512-68716880 19984816880
产品介绍:
中文名称:DMPC 二肉豆蔻酰基卵磷脂
英文名称:1,2-dimyristoyl-sn-glycero-3-phosphocholine
CAS:18194-24-6
纯度:98%
包装信息:1g;5g;10g
苏州星北医药科技有限公司
黄金产品
联系电话:0512-0512-68437753 13861119411
产品介绍:
中文名称:二肉豆蔻酰磷脂酰胆碱(DMPC)
英文名称:1,2-DIMYRISTOYL-SN-GLYCERO-3-PHOSPHOCHOLINE
CAS:18194-24-6
纯度:0.98
包装信息:1g;1kg
备注:1g/100g/1kg
天津奕星生物科技有限公司
黄金产品
联系电话:022-82103883 18100103827
产品介绍:
中文名称:二肉豆蔻酰磷脂酰胆碱(DMPC)
英文名称:1,2-DIMYRISTOYL-SN-GLYCERO-3-PHOSPHOCHOLINE
CAS:18194-24-6
纯度:98% HPLC
包装信息:5KG;1KG;100kg
二肉豆蔻酰磷脂酰胆碱(DMPC)新闻专题 更多
2024-12-26
一种高效液相色谱测定二肉豆蔻酰磷脂酰胆碱(DMPC)含量的方法
2022-11-30
二肉豆蔻酰磷脂酰胆碱(DMPC)的合成与应用
二肉豆蔻酰磷脂酰胆碱(DMPC)生产厂家及价格列表
1,2-二肉豆蔻酰-sn-甘油-3-磷酸胆碱,DMPC,18194-24-6
广州为华生物科技有限责任公司
2026-04-04
DMPC,二肉豆蔻酰基卵磷脂,18194-24-6
广州为华生物科技有限责任公司
2026-04-04