双乙烯酮
中文名称:双乙烯酮
英文名称:Acetyl ketene
CAS号:674-82-8
分子式:C4H4O2
分子量:84.07
EINECS号:211-617-1
Mol文件:674-82-8.mol
双乙烯酮 性质
| 熔点 | -7.5°C |
|---|---|
| 沸点 | 69-70 °C100 mm Hg(lit.) |
| 密度 | 1.09 g/mL at 25 °C(lit.) |
| 蒸气密度 | 2.9 (vs air) |
| 蒸气压 | 7.9 mm Hg ( 20 °C) |
| 折射率 | n |
| 闪点 | 95 °F |
| 储存条件 | 2-8°C |
| InChI | InChI=1S/C4H4O2/c1-3-2-4(5)6-3/h1-2H2 |
| InChIKey | WASQWSOJHCZDFK-UHFFFAOYSA-N |
| SMILES | O1C(=C)CC1=O |
| CAS 数据库 | 674-82-8(CAS DataBase Reference) |
| NIST化学物质信息 | 2-Oxetanone, 4-methylene-(674-82-8) |
| EPA化学物质信息 | Diketene (674-82-8) |
双乙烯酮 用途与合成方法
双乙烯酮( Diketene)又名乙酰基乙烯酮或乙烯基乙酰内酯, 无色或淡黄色并具有刺激性气味的可燃性液体, 既不溶于水也不吸水, 能溶于大部分有机溶剂, 久置易聚合。另外, 双乙烯酮易燃、易爆, 其蒸气具有催泪性, 能使人中毒。由于其分子结构中含有两个双键,使其具有高度的不饱和性,化学性质极为活泼。可与醇、胺、卤素、醛、酮、酸等发生加成、分解、硝化、聚合等反应,生成多种精细化工中间体。因此,在医药、农药、染料、饲料添加剂、有机合成等方面具有广泛的应用。 无色而有催泪性的透明液体。相对密度1.0897,熔点-6.5℃,沸点127.4℃。折光率1.4379,不溶于水,溶于普通有机溶剂。化学性质活泼,放置时易起聚合作用。与醇类作用成乙酰醋酸酯类,与胺类作用成酰胺类。 根据乙烯酮合成原料的不同可分为乙酸高温裂解法、乙炔氧化法、丙酮热解法和乙酸酐热解法。
1.乙酸高温裂解法
以磷酸三乙酯为催化剂, 乙酸蒸气在750 ℃左右、12 kPa 压力下, 经过热裂解脱水制得乙烯酮, 进一步聚合生成双乙烯酮, 见反应式(1)和(2)。

图1为乙酸高温裂解法合成双乙烯酮的反应式
2.乙炔氧化法
将乙炔和氧按2∶1 的摩尔比混合, 98 ℃ ~107 ℃时, 在以硅胶为载体的ZnO/CoO/Ag2O 催化剂上停留1 s , 可直接生成乙烯酮, 进一步聚合生成双乙烯酮, 见反应式(3)和(4)。

图2为乙炔氧化法合成双乙烯酮的反应式
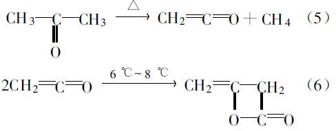
3.丙酮热解法
丙酮在高温下(约800 ℃)热解得到乙烯酮, 进一步聚合生成双乙烯酮, 见反应式(5)和(6)。

图3为丙酮热解法合成双乙烯酮的反应式
此法由于产生副产物甲烷, 使双乙烯酮气体的纯度低, 同时要消除残留的丙酮比较困难, 因而适合于小规模生产。
4.乙酸酐热解法
在280 ℃~ 650 ℃时, 乙酸酐热解生成乙烯酮,进一步聚合生成双乙烯酮, 见反应式(7)和(8)。

图4为乙酸酐热解法合成双乙烯酮的反应式 1.医药
在医药工业中,双乙烯酮和两当量的氯气反应生成2, 4-二氯乙酰乙酸氯化物,然后脱碳酸制得1, 3-二氯丙酮,进而用硫化酰胺经环化反应制得4-氯甲基噻唑类化合物。该品是抗溃疡药甲磺噻唑和邑查替丁的中间体。由双乙烯酮为原料制备的依匹唑是一种对胃肠道副作用小、镇痛效果好的吡唑酮类解热镇痛药。其镇痛效果约为氨基比林的3倍,此外还有抗病毒的作用。双乙烯酮与尿素在消水剂醋酐的存在下反应制得的6-甲基脲嘧啶,是合成血管扩张剂潘生丁乳清酸和杀鼠剂鼠丘死的重要中间体,并有调节植物生长的作用。双乙烯酮与氯气反应制得的4-氯代乙酰乙酸酯,是合成抗菌素头孢菌素侧链的中间体。与环氧乙烷制得的α-乙酰丁内酯可用作VB1的原料。与无水乙醇作用制得的乙酰乙酸乙酯,可用于合成抗过敏药、止咳药止咳酮、中枢兴奋药山梗菜碱盐酸盐、抗凝血药新抗凝、血管扩张药己酮柯柯碱及双氯苯唑青霉素钠、羟氨苄青霉素等多种医药中间体。
2.农业
在农业中,双乙烯酮与异丁酰胺、异丁腈、异丁酸酯等反应生成2-异丙基-4-甲基-6-羟基嘧啶。该化合物再与乙基氯化物反应得到的有机磷杀虫剂二嗪农,可用于玉米、蔬菜、果树、水稻等作物。由双乙烯酮与醇类反应制得的二氯菊酯是生产拟除虫菊酯杀虫剂的重要中间体,由它可合成氯菊酯、氯氰菊酯、氟氯氰菊酯等系列杀虫剂。双乙烯酮与二乙胺反应得到的乙酰乙酰二乙胺是有机磷杀虫剂磷胺的中间体; 与一甲胺反应得到的乙酰乙酰甲胺是久效磷的中间体; 与二甲胺反应得到的乙酰乙酰二甲胺是百治磷的中间体。双乙烯酮与醛类反应生成4-取代乙酰基乙酸酯,再在碱性条件下环化生成的6-取代4-羟基-5, 6-二氢-2-吡喃酮,可用于合成效果显著的芽后除草剂。双乙烯酮与二环丙甲胺等反应得到的脲嘧啶,是对棉花等作物无损的芽前除草剂。
3.饲料添加剂
由双乙烯酮和乙醇胺、邻硝基苯胺为原料制得的喹乙醇(又名快育灵)是一种很有发展前途的饲料添加剂。它能通过抗革兰氏阳性菌和阴性菌及对蛋白的同化作用,促进家畜和家禽的生长,提高饲料转化率,缩短饲养周期,增加猪的瘦肉比例,国外已广泛使用。
4.合成氨基酸
以双乙烯酮为起始原料,可合成多种氨基酸。如先将双乙烯酮氨化生成丁酮酰胺,再进行烷基化,然后在低温下于氢氧化钾溶液中以溴素处理,可得氨基酸。采用不同的烷基化试剂,可分别制得不同的氨基酸。如亮氨酸、异亮氨酸、苯丙氨酸等。双乙烯酮与亚硝酸酯(或乙酸)以亚硝酸处理,可制得α-肟乙酰乙酸乙酯,以钯催化氢化还原肟,再用铂催化剂还原β-羰基,可得混旋的苏氨酸。
5.染料工业
双乙烯酮与苯胺在0- 15℃下反应制得的乙酰乙酰苯胺,可用于制造吡唑啉酮、酸性络合黄GR、中性深黄GL、中性橙RL、耐晒黄G等染料。与邻甲苯胺在10- 15℃反应制得的乙酰乙酰邻甲苯胺,可用作联苯胺黄颜料的中间体。与对甲苯胺在10- 15℃反应制得的乙酰乙酰对甲苯胺,可用作双偶氮颜料汉撒黄的中间体。与邻氯苯胺在乙醇介质中缩合得到的邻氯乙酰乙酰苯胺,可用于生产
颜料黄10G、GP及中性亮黄3GL、中性深棕BRL、中性橙RL等。与间二甲苯胺反应得到的乙酰乙酰间二甲苯胺,可用作联苯胺黄、乌尔康坚固黄GR、G的中间体。与2, 5-二甲氧基苯胺反应得到的乙酰乙酰-2, 5-二甲氧基苯胺可用作偶氮染料、汉撒黄的中间体。与邻甲氧基苯胺反应制得的邻乙酰乙酰氨基苯甲醚,可用于生产黄色耐光染料直接耐晒黄5G等。
6.食品工业
双乙烯酮在苛性碱、酸的碱金属盐、叔胺等催化剂存在下,在甲苯或苯溶液中进行二聚得到的脱氢醋酸及其钠盐是一种重要的食品添加剂。可用于酪黄油、人造奶油、清凉饮料、发酵乳、乳酸菌饮料、豆浆等的添加剂。
7.有机合成
双乙烯酮与氨水反应制得的乙酰乙酰胺与芳肼缩合,可制得一系列吡唑啉酮类化合物。如1-苯基-3-甲基-5-吡唑啉酮、1-( 4-氯苯基) -3-甲基-5-吡唑啉酮等。它们是合成医药、染料的重要中间体。可用于生产解热镇痛药物如安替比林、安乃近等; 用于生产丝绸、羊毛织物专用染料永固黄G、中性橙RL、中性桃红BL等。双乙烯酮和氯气在低温下制得的α-氯乙酰基乙酰氯是红色颜料喹卟酮的中间体;在医药上可合成头孢霉素衍生物;亦可用于合成农药。双乙烯酮与各种芳胺缩合生成的乙酰基乙酰苯胺类产品,可加工成酸性络合黄GR、联苯胺黄、永固黄2G、坚固黄R等多种有机颜料和染料; 还可作为塑料、橡胶等的着色剂。如乙酰基乙酰苯胺、邻(对) -氯乙酰基乙酰苯胺、邻-甲(氧)基乙酰基乙酰苯胺、2, 4-二甲基乙酰基乙酰苯胺等。双乙烯酮与醇类反应制得的乙酰基乙酸酯类产品是重要的有机合成原料。如乙酰基乙酸甲脂、乙酯、异丙酯、烯丙基酯等,可用作农药、染料、颜料、溶剂、螯合剂、聚合催化剂及医药用原料等。
8.高分子工业
双乙烯酮能与许多聚合物发生乙酰基乙酰化反应,从而改进其物理性质,使其用途不断扩大。如双乙烯酮用于纸张涂料,可提高纸张的防水和防火性能。双乙烯酮与聚乙烯醇、硫酸氢钒作用所得复合树脂,可用作由环己酮制备己内酰胺反应中的催化剂。由双乙烯酮制备的木材涂敷固化剂具有优良的耐热和耐水性能。尼龙6用双乙烯酮处理,并与钙、锌、钴或铝化合物螯合后,可得到具有良好抗静电性的纤维。
9.其它
双乙烯酮与1, 4-丁二醇缩合可制得1,4-丁二醇双β -氨基巴豆酸酯; 与异丁腈反应可制得橡胶防老剂丁烯羧酸内酯。此外,双乙烯酮还可用于制备聚乙烯的无毒稳定剂; 用于合成多种用途广泛的杂环化合物。如吡咯衍生物、异恶唑衍生物、吡唑酮衍生物、嘧啶衍生物、噻唑衍生物和喹啉衍生物等。
以上关于双乙烯酮的理化性质,制备方法,应用等信息由Chemicalbook的丁编辑整理。 [1]用于合成染料、颜料、医药等的原料。另外,还广泛用于农药、杀菌剂、增塑剂、纤维改性剂等。
[2]孙玉泉等.双乙烯酮的合成与应用.山西化工.2007.27(1):47-49.
[3]金 栋等.双乙烯酮的生产和应用.四川化工与腐蚀控制.2001.4(3):35-38.
1.乙酸高温裂解法
以磷酸三乙酯为催化剂, 乙酸蒸气在750 ℃左右、12 kPa 压力下, 经过热裂解脱水制得乙烯酮, 进一步聚合生成双乙烯酮, 见反应式(1)和(2)。

图1为乙酸高温裂解法合成双乙烯酮的反应式
2.乙炔氧化法
将乙炔和氧按2∶1 的摩尔比混合, 98 ℃ ~107 ℃时, 在以硅胶为载体的ZnO/CoO/Ag2O 催化剂上停留1 s , 可直接生成乙烯酮, 进一步聚合生成双乙烯酮, 见反应式(3)和(4)。

图2为乙炔氧化法合成双乙烯酮的反应式
3.丙酮热解法
丙酮在高温下(约800 ℃)热解得到乙烯酮, 进一步聚合生成双乙烯酮, 见反应式(5)和(6)。

图3为丙酮热解法合成双乙烯酮的反应式
此法由于产生副产物甲烷, 使双乙烯酮气体的纯度低, 同时要消除残留的丙酮比较困难, 因而适合于小规模生产。
4.乙酸酐热解法
在280 ℃~ 650 ℃时, 乙酸酐热解生成乙烯酮,进一步聚合生成双乙烯酮, 见反应式(7)和(8)。

图4为乙酸酐热解法合成双乙烯酮的反应式 1.医药
在医药工业中,双乙烯酮和两当量的氯气反应生成2, 4-二氯乙酰乙酸氯化物,然后脱碳酸制得1, 3-二氯丙酮,进而用硫化酰胺经环化反应制得4-氯甲基噻唑类化合物。该品是抗溃疡药甲磺噻唑和邑查替丁的中间体。由双乙烯酮为原料制备的依匹唑是一种对胃肠道副作用小、镇痛效果好的吡唑酮类解热镇痛药。其镇痛效果约为氨基比林的3倍,此外还有抗病毒的作用。双乙烯酮与尿素在消水剂醋酐的存在下反应制得的6-甲基脲嘧啶,是合成血管扩张剂潘生丁乳清酸和杀鼠剂鼠丘死的重要中间体,并有调节植物生长的作用。双乙烯酮与氯气反应制得的4-氯代乙酰乙酸酯,是合成抗菌素头孢菌素侧链的中间体。与环氧乙烷制得的α-乙酰丁内酯可用作VB1的原料。与无水乙醇作用制得的乙酰乙酸乙酯,可用于合成抗过敏药、止咳药止咳酮、中枢兴奋药山梗菜碱盐酸盐、抗凝血药新抗凝、血管扩张药己酮柯柯碱及双氯苯唑青霉素钠、羟氨苄青霉素等多种医药中间体。
2.农业
在农业中,双乙烯酮与异丁酰胺、异丁腈、异丁酸酯等反应生成2-异丙基-4-甲基-6-羟基嘧啶。该化合物再与乙基氯化物反应得到的有机磷杀虫剂二嗪农,可用于玉米、蔬菜、果树、水稻等作物。由双乙烯酮与醇类反应制得的二氯菊酯是生产拟除虫菊酯杀虫剂的重要中间体,由它可合成氯菊酯、氯氰菊酯、氟氯氰菊酯等系列杀虫剂。双乙烯酮与二乙胺反应得到的乙酰乙酰二乙胺是有机磷杀虫剂磷胺的中间体; 与一甲胺反应得到的乙酰乙酰甲胺是久效磷的中间体; 与二甲胺反应得到的乙酰乙酰二甲胺是百治磷的中间体。双乙烯酮与醛类反应生成4-取代乙酰基乙酸酯,再在碱性条件下环化生成的6-取代4-羟基-5, 6-二氢-2-吡喃酮,可用于合成效果显著的芽后除草剂。双乙烯酮与二环丙甲胺等反应得到的脲嘧啶,是对棉花等作物无损的芽前除草剂。
3.饲料添加剂
由双乙烯酮和乙醇胺、邻硝基苯胺为原料制得的喹乙醇(又名快育灵)是一种很有发展前途的饲料添加剂。它能通过抗革兰氏阳性菌和阴性菌及对蛋白的同化作用,促进家畜和家禽的生长,提高饲料转化率,缩短饲养周期,增加猪的瘦肉比例,国外已广泛使用。
4.合成氨基酸
以双乙烯酮为起始原料,可合成多种氨基酸。如先将双乙烯酮氨化生成丁酮酰胺,再进行烷基化,然后在低温下于氢氧化钾溶液中以溴素处理,可得氨基酸。采用不同的烷基化试剂,可分别制得不同的氨基酸。如亮氨酸、异亮氨酸、苯丙氨酸等。双乙烯酮与亚硝酸酯(或乙酸)以亚硝酸处理,可制得α-肟乙酰乙酸乙酯,以钯催化氢化还原肟,再用铂催化剂还原β-羰基,可得混旋的苏氨酸。
5.染料工业
双乙烯酮与苯胺在0- 15℃下反应制得的乙酰乙酰苯胺,可用于制造吡唑啉酮、酸性络合黄GR、中性深黄GL、中性橙RL、耐晒黄G等染料。与邻甲苯胺在10- 15℃反应制得的乙酰乙酰邻甲苯胺,可用作联苯胺黄颜料的中间体。与对甲苯胺在10- 15℃反应制得的乙酰乙酰对甲苯胺,可用作双偶氮颜料汉撒黄的中间体。与邻氯苯胺在乙醇介质中缩合得到的邻氯乙酰乙酰苯胺,可用于生产
颜料黄10G、GP及中性亮黄3GL、中性深棕BRL、中性橙RL等。与间二甲苯胺反应得到的乙酰乙酰间二甲苯胺,可用作联苯胺黄、乌尔康坚固黄GR、G的中间体。与2, 5-二甲氧基苯胺反应得到的乙酰乙酰-2, 5-二甲氧基苯胺可用作偶氮染料、汉撒黄的中间体。与邻甲氧基苯胺反应制得的邻乙酰乙酰氨基苯甲醚,可用于生产黄色耐光染料直接耐晒黄5G等。
6.食品工业
双乙烯酮在苛性碱、酸的碱金属盐、叔胺等催化剂存在下,在甲苯或苯溶液中进行二聚得到的脱氢醋酸及其钠盐是一种重要的食品添加剂。可用于酪黄油、人造奶油、清凉饮料、发酵乳、乳酸菌饮料、豆浆等的添加剂。
7.有机合成
双乙烯酮与氨水反应制得的乙酰乙酰胺与芳肼缩合,可制得一系列吡唑啉酮类化合物。如1-苯基-3-甲基-5-吡唑啉酮、1-( 4-氯苯基) -3-甲基-5-吡唑啉酮等。它们是合成医药、染料的重要中间体。可用于生产解热镇痛药物如安替比林、安乃近等; 用于生产丝绸、羊毛织物专用染料永固黄G、中性橙RL、中性桃红BL等。双乙烯酮和氯气在低温下制得的α-氯乙酰基乙酰氯是红色颜料喹卟酮的中间体;在医药上可合成头孢霉素衍生物;亦可用于合成农药。双乙烯酮与各种芳胺缩合生成的乙酰基乙酰苯胺类产品,可加工成酸性络合黄GR、联苯胺黄、永固黄2G、坚固黄R等多种有机颜料和染料; 还可作为塑料、橡胶等的着色剂。如乙酰基乙酰苯胺、邻(对) -氯乙酰基乙酰苯胺、邻-甲(氧)基乙酰基乙酰苯胺、2, 4-二甲基乙酰基乙酰苯胺等。双乙烯酮与醇类反应制得的乙酰基乙酸酯类产品是重要的有机合成原料。如乙酰基乙酸甲脂、乙酯、异丙酯、烯丙基酯等,可用作农药、染料、颜料、溶剂、螯合剂、聚合催化剂及医药用原料等。
8.高分子工业
双乙烯酮能与许多聚合物发生乙酰基乙酰化反应,从而改进其物理性质,使其用途不断扩大。如双乙烯酮用于纸张涂料,可提高纸张的防水和防火性能。双乙烯酮与聚乙烯醇、硫酸氢钒作用所得复合树脂,可用作由环己酮制备己内酰胺反应中的催化剂。由双乙烯酮制备的木材涂敷固化剂具有优良的耐热和耐水性能。尼龙6用双乙烯酮处理,并与钙、锌、钴或铝化合物螯合后,可得到具有良好抗静电性的纤维。
9.其它
双乙烯酮与1, 4-丁二醇缩合可制得1,4-丁二醇双β -氨基巴豆酸酯; 与异丁腈反应可制得橡胶防老剂丁烯羧酸内酯。此外,双乙烯酮还可用于制备聚乙烯的无毒稳定剂; 用于合成多种用途广泛的杂环化合物。如吡咯衍生物、异恶唑衍生物、吡唑酮衍生物、嘧啶衍生物、噻唑衍生物和喹啉衍生物等。
以上关于双乙烯酮的理化性质,制备方法,应用等信息由Chemicalbook的丁编辑整理。 [1]用于合成染料、颜料、医药等的原料。另外,还广泛用于农药、杀菌剂、增塑剂、纤维改性剂等。
[2]孙玉泉等.双乙烯酮的合成与应用.山西化工.2007.27(1):47-49.
[3]金 栋等.双乙烯酮的生产和应用.四川化工与腐蚀控制.2001.4(3):35-38.
化学性质
无色或微黄色透明液体 用途
作为有机合成试剂,用于制备农药、染料、颜料中间体=、乙酰乙酰苯胺(AAA)及吡唑酮(PMP)衍生物。 用途
用作染料、颜料、农药、医药及有机合成中间体 用途
双乙烯酮是农药、医药的重要中间体,可以制备杀菌剂拌种灵、禾穗胺、萎锈灵、恶霉灵、二甲嘧酚、乙嘧酚,杀虫剂久效磷、磷胺、蝇毒磷、胺丙畏、嘧啶氧磷、百治磷、二嗪磷、杀线威、抗蚜威、乐果、氧乐果,除草剂甲草胺、乙草胺、丁草胺、喹禾灵、毒草胺、莎稗磷等。 用途
双烯酮的反应能力很强,可衍生多种产品,是精细化学品染料、医药、农药、食品和饲料添加剂、助剂等的原料。双烯酮和二乙胺反应得到的乙酰乙酰二乙胺是有机磷杀虫剂磷胺的中间体;而与一甲胺反应得到的乙酰乙酰甲胺则是久效磷的中间体。双烯酮与氨反应生成乙酰乙酰胺,用于合成染料中间体1-(4-氯苯基)-3-甲基-5-吡唑酮、1-(4-磺酸基苯基)-3-甲基-5-吡唑酮;双烯酮与乙醇反应生成乙酰乙酸乙酯,用于合成染料中间体1-苯基-3-甲基-5-吡唑酮、1-(2,5-二氯-4-磺酸基苯基)-3-甲基-5-吡唑酮等。由这些中间体可制得染料永固黄G、酸性媒介枣红BN、中性橙RL、中性棕5RL、中性深棕BRL、酸性嫩黄G、弱酸嫩黄G、酸性嫩黄2G、活性嫩黄K-6G、活性嫩黄M-5G、活性嫩黄X-6G、中性桃红BL等。1-苯基-3-甲基-5-吡唑酮及其衍生物更多用于解热镇痛药安替比林、氨基比林、安乃近等的生产。双烯酮还可用于氨基酸的合成。双烯酮和邻硝基苯胺、乙醇胺为原料,可制得饲料添加剂喹乙醇(快育灵)。双烯酮用于合成多种杂环化合物,例如合成吡咯衍生物、异噁唑衍生物、吡唑酮衍生物、嘧啶衍生物、噻唑衍生物、喹啉类化合物、香豆素类化合物、呋喃衍生物;双烯酮还可以与一系列化合物反应,生成吡喃酮、吡啶酮、二氧六环、噁嗪及黄酮类化合物等。 生产方法
工业上乙酸制取双烯酮,也可用丙酮、乙酐、乙酸酯为原料进行热分解。丙酮热分解法可用于小规模生产,这种方法由于副产甲烷,得到的乙烯酮气体的纯度低,同时要除去残留的丙酮也比较困难。冰醋酸在磷酸三乙酯存在下,于750-780℃裂解得乙烯酮,再于8-10℃聚合生成双乙烯酮。 生产方法
其制备方法是在催化剂磷酸三乙酯的存在下,使乙酸在700℃左右热裂解,脱水生成乙烯酮,净化的乙烯酮气体在吸收塔内二聚化生成双乙烯酮。若温度过高,已生成的双乙烯酮会发生高聚生成多聚乙烯酮,同时在乙酸热裂解过程中必须加入阻聚剂氨气以免乙烯酮分解。其工艺是乙酸经气化器(在约40 kPa下)气化,在乙酸蒸气中加入乙酸投料量的0.3%的磷酸三乙酯,然后经预热器加热至反应温度,迅速通过裂解管,并加入阻聚剂氨,反应物经冷凝分馏,分馏出未反应的乙酸,冷凝器内的乙烯酮混合气体在双乙烯酮吸收塔内生成双乙烯酮(以双乙烯酮吸收),再经薄膜蒸馏而得成品。反应方程式如:CH3COOH[磷酸三乙酯]→[750~780℃]CH2CO+H2O 类别
有毒物品 毒性分级
中毒 急性毒性
口服-大鼠 LD50: 560 微升/公斤;口服-小鼠 LDL0: 800 毫克/公斤 刺激数据
皮肤-兔子 20 毫克/24小时 中度;眼睛-兔子 0.05 毫克/24小时 重度 可燃性危险特性
明火、高热可燃;与氧化剂起作用; 燃烧释放刺激烟雾 储运特性
库房通风低温干燥; 与氧化剂(硝铵)、食品添加剂分开存放 灭火剂
水、泡沫、砂土。 职业标准
STEL 1 毫克/立方米 安全信息
| 危险品标志 | Xn |
|---|---|
| 危险类别码 | 10-20-40-36/37/38 |
| 安全说明 | 3-36/37-33-24/25-23-16-26 |
| 危险品运输编号 | UN 2521 (DIKETENE, STABILIZED) |
| WGK Germany | 2 |
| RTECS号 | RQ8225000 |
| F | 19-21-27 |
| TSCA | TSCA listed |
| 危险等级 | 6.1 |
| 包装类别 | I |
| 毒害物质数据 | 674-82-8(Hazardous Substances Data) |
| 立即威胁生命和健康浓度 | 7.6 ppm |
双乙烯酮供应商 更多
新华制药(寿光)有限公司
联系电话:0536-5396301
产品介绍:
中文名称:双乙烯酮
英文名称:Acetyl ketene
CAS:674-82-8
纯度:99.5%
包装信息:25kg/
南京维奥化工有限公司
黄金产品
联系电话:025-87193546 18652950785
产品介绍:
中文名称:双乙烯酮
英文名称:Acetyl ketene
CAS:674-82-8
纯度:98%
包装信息:100g-100kg
备注:现货
济南金池医药科技有限公司
黄金产品
大货
现货
联系电话:15168890063 18888326116
产品介绍:
中文名称:双乙烯酮
英文名称:Diketene
CAS:674-82-8
纯度:99%
包装信息:25kgs
库存量:>50t
现货日期:2026/4/1 11:01:11
湖北鑫杰成化工科技有限公司
黄金产品
联系电话: 13554075426
产品介绍:
中文名称:双乙烯酮
英文名称:diketene
CAS:674-82-8
纯度:99%
包装信息:1kg;25kg;1000kg
备注:可零售
嘉兴市德亿化工有限公司
黄金产品
联系电话:86-0573-85866609 13325730825
产品介绍:
中文名称:双乙烯酮
英文名称:Acetyl ketene
CAS:674-82-8
纯度:98%
包装信息:1KG 5KG 10KG
备注:工业级
双乙烯酮新闻专题 更多
2024-03-13
含双乙烯酮废水的处理方法
2022-12-06
双乙烯酮的反应与生产工艺
2020-12-22
双乙烯酮在农药上的开发前景
2020-10-24
双乙烯酮的应用

