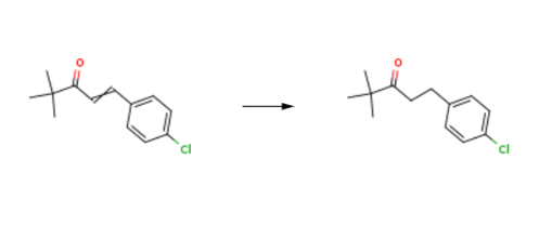
1-(4-Chlorophenyl)-4,4-dimethyl-3-pentanone was synthesised using 1-(4-chlorophenyl)-4,4-dimethylpent-1-en-3-one as raw material by chemical reaction. The specific synthesis steps are as follows:
56.7 g (0.25 mol) of compound dissolved in 125 ml of methanol The solution was added to the autoclave, and 0.17 g of Raney nickel (catalyst) and 0.17 g of sulfolane (cocatalyst) were added; the autoclave was sealed and replaced with nitrogen and hydrogen. Then keep the pressure at 50-60 and react under 0.1MPa, and the reaction is completed in the central control; the pressure is relieved and the catalyst is recovered by filtration (the same amount of feed can be used 20 times, and each time 0.17g of co-catalyst can be added), and 1-(4-Chlorophenyl)-4,4-dimethyl-3-pentanone after washing 55.6g, yield 99%, content 98.9% (dechlorination content 0.09%).
