Basic information Safety Related Supplier
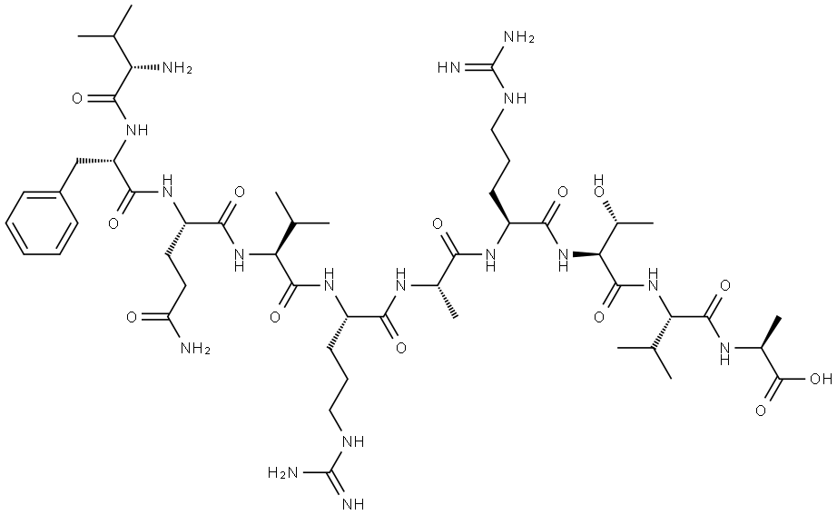
L-Alanine, L-valyl-L-phenylalanyl-L-glutaminyl-L-valyl-L-arginyl-L-alanyl-L-arginyl-L-threonyl-L-valyl- Structure

L-Alanine, L-valyl-L-phenylalanyl-L-glutaminyl-L-valyl-L-arginyl-L-alanyl-L-arginyl-L-threonyl-L-valyl-

Chemical Properties

Density  1.41±0.1 g/cm3(Temp: 20 °C; Press: 760 Torr)(predicted)
pka 3.41±0.10(predicted)

Usage And Synthesis

L-Alanine, L-valyl-L-phenylalanyl-L-glutaminyl-L-valyl-L-arginyl-L-alanyl-L-arginyl-L-threonyl-L-valyl- Supplier