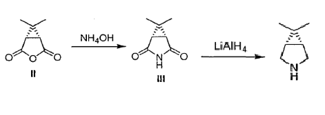
6,6-Dimethyl-3-azabicyclo[3.1.0]hexane
- Product Name6,6-Dimethyl-3-azabicyclo[3.1.0]hexane
- CAS943516-54-9
- MFC7H13N
- MW111.18
- EINECS1308068-626-2
- MOL File943516-54-9.mol
Chemical Properties
| Boiling point | 135℃ |
| Density | 0.911 |
| Flash point | 24℃ |
| storage temp. | 2-8°C(protect from light) |
| pka | 11.51±0.40(Predicted) |
| Appearance | Colorless to light yellow Liquid |
| InChI | InChI=1S/C7H13N/c1-7(2)5-3-8-4-6(5)7/h5-6,8H,3-4H2,1-2H3 |
| InChIKey | BGOMFPZIMJCRDV-UHFFFAOYSA-N |
| SMILES | C12C(C1(C)C)CNC2 |
![synthesis of 6,6-Dimethyl-3-aza-bicyclo[3.1.01]hexane synthesis of 6,6-Dimethyl-3-aza-bicyclo[3.1.01]hexane](/NewsImg/2025-12-30/6390271125377549316037104.png)