Basic information Safety Related Supplier
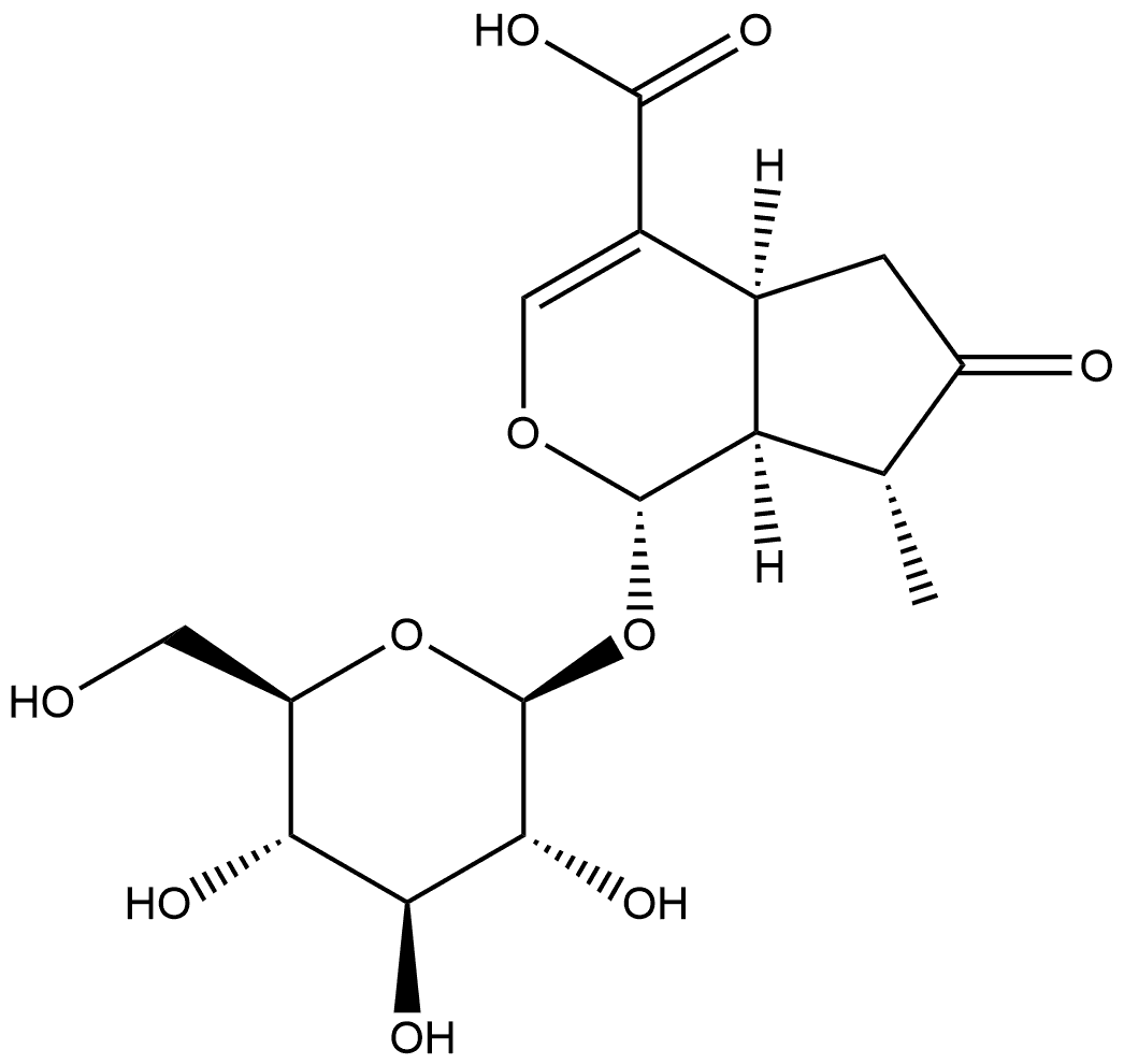
Cyclopenta[c]pyran-4-carboxylic acid, 1-(β-D-glucopyranosyloxy)-1,4a,5,6,7,7a-hexahydro-7-methyl-6-oxo-, (1S,4aS,7R,7aS)- Structure

Cyclopenta[c]pyran-4-carboxylic acid, 1-(β-D-glucopyranosyloxy)-1,4a,5,6,7,7a-hexahydro-7-methyl-6-oxo-, (1S,4aS,7R,7aS)-

Chemical Properties

Boiling point 650.4±55.0 °C(Predicted)
Density  1.60±0.1 g/cm3(Predicted)
pka 4.38±0.60(Predicted)

Cyclopenta[c]pyran-4-carboxylic acid, 1-(β-D-glucopyranosyloxy)-1,4a,5,6,7,7a-hexahydro-7-methyl-6-oxo-, (1S,4aS,7R,7aS)- Supplier