TAT-PiET
- Product NameTAT-PiET
- CAS3036046-03-1
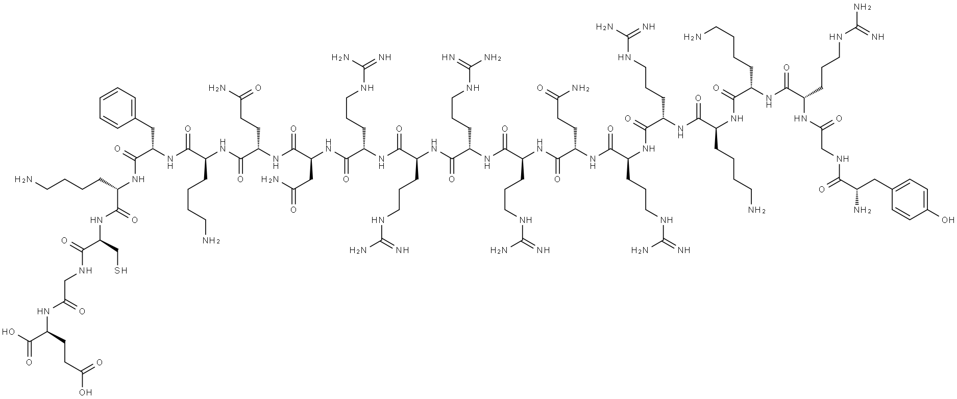
- MFC110H192N48O27S
- MW2651.08
- EINECS
- MOL File3036046-03-1.mol
Chemical Properties
| Density | 1.54±0.1 g/cm3(Temp: 20 °C; Press: 760 Torr)(predicted) |
| Sequence | Tyr-Gly-Arg-Lys-Lys-Arg-Arg-Gln-Arg-Arg-Arg-Arg-Asn-Gln-Lys-Phe-Lys-Cys-Gly-Glu |