Basic information Safety Related Supplier
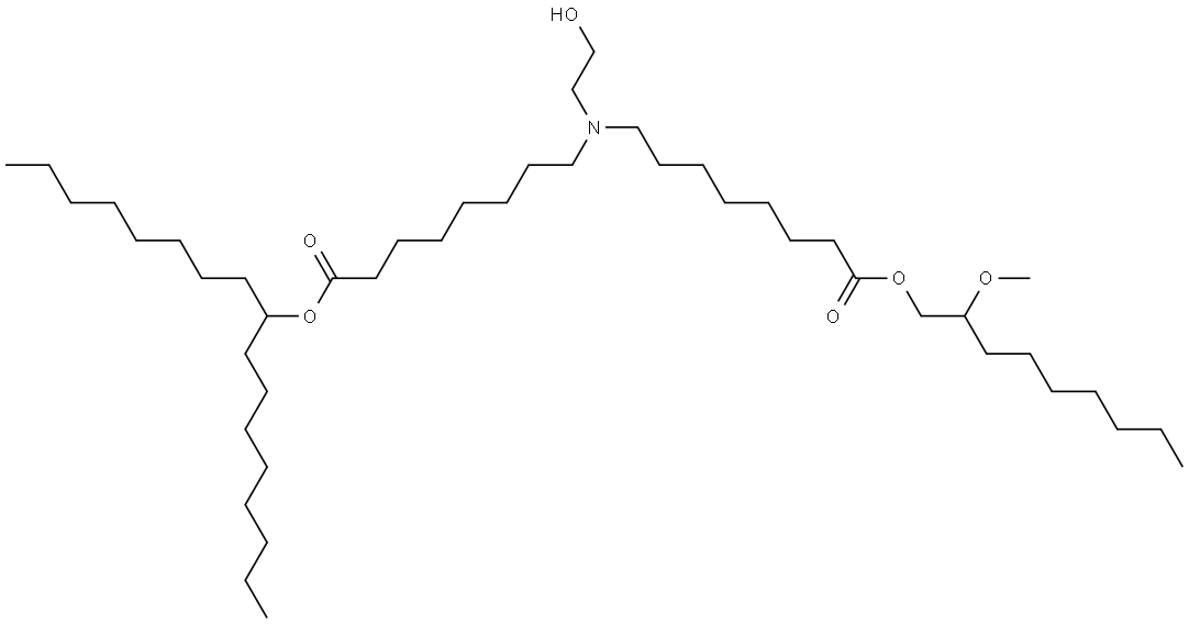
heptadecan-9-yl 8-((2-hydroxyethyl)(8-((2-methoxynonyl)oxy)-8-oxooctyl)amino)octanoate Structure

heptadecan-9-yl 8-((2-hydroxyethyl)(8-((2-methoxynonyl)oxy)-8-oxooctyl)amino)octanoate

Chemical Properties

Boiling point 742.2±55.0 °C(predicted)
Density  0.936±0.06 g/cm3(Temp: 20 °C; Press: 760 Torr)(predicted)
pka 14.67±0.10(predicted)