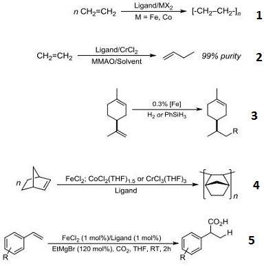
2,6-BIS[1-(2,6-DI-I-PROPYLPHENYLIMINO)ETHYL]PYRIDINE
- Product Name2,6-BIS[1-(2,6-DI-I-PROPYLPHENYLIMINO)ETHYL]PYRIDINE
- CAS204203-14-5
- MFC33H43N3
- MW481.71
- EINECS
- MOL File204203-14-5.mol
Chemical Properties
| Boiling point | 573.6±50.0 °C(Predicted) |
| Density | 0.99±0.1 g/cm3(Predicted) |
| storage temp. | under inert gas (nitrogen or Argon) at 2-8°C |
| pka | 3.21±0.50(Predicted) |
| form | Powder |
| color | pale yellow |
| CAS DataBase Reference | 204203-14-5 |
Safety Information
| Risk Statements | 36/37/38 |
| Safety Statements | 26-36/37/39 |
