GLYCEROL ETHOXYLATE
- Product NameGLYCEROL ETHOXYLATE
- CAS31694-55-0
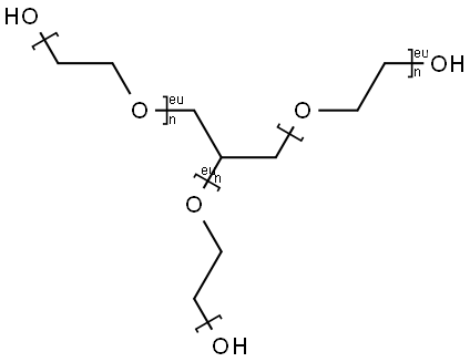
- MF(C2H4O)n(C2H4O)n(C2H4O)nC3H8O3
- MW0
- EINECS500-075-4
- MOL File31694-55-0.mol
Chemical Properties
| Boiling point | >200 °C(lit.) |
| Density | 1.138 g/mL at 25 °C(lit.) |
| vapor pressure | 0.004Pa at 20℃ |
| refractive index | n |
| Flash point | >230 °F |
| storage temp. | no restrictions. |
| solubility | H2O: soluble |
| form | viscous liquid |
| PH | 6-8 (100g/l, H2O, 20℃) |
| PH Range | 5.5 - 7.5 |
| Water Solubility | 1000g/L at 20℃ |
| Cosmetics Ingredients Functions | SURFACTANT - CLEANSING SKIN CONDITIONING - EMOLLIENT SKIN CONDITIONING HUMECTANT VISCOSITY CONTROLLING |
| Cosmetic Ingredient Review (CIR) | GLYCEROL ETHOXYLATE (31694-55-0) |
| InChI | InChI=1S/C9H20O6/c10-1-4-13-7-9(15-6-3-12)8-14-5-2-11/h9-12H,1-8H2 |
| InChIKey | UCYLROVJSUACAD-UHFFFAOYSA-N |
| SMILES | C(O{-}CC{+n}O)(CO{-}CC{+n}O)CO{-}CC{+n}O |
| LogP | -2.373 (est) |
| EPA Substance Registry System | Poly(oxy-1,2-ethanediyl), .alpha.,.alpha.',.alpha.''-1,2,3-propanetriyltris[.omega.-hydroxy- (31694-55-0) |
Safety Information
| WGK Germany | 1 |
| Autoignition Temperature | 390 °C |
| TSCA | TSCA listed |
| HS Code | 3907 20 20 |
| Storage Class | 11 - Combustible Solids |
| Toxicity | LD50 orally in Rabbit: > 2000 mg/kg |