Basic information Safety Related Supplier
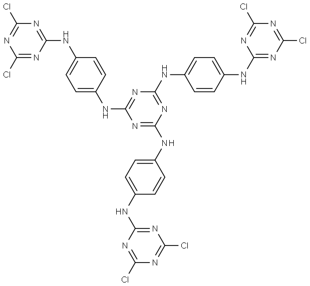
N2,N4,N6-tris(4-((4,6-dichloro-1,3,5-triazin-2-yl)amino)phenyl)-1,3,5-triazine-2,4,6-triamine Structure

N2,N4,N6-tris(4-((4,6-dichloro-1,3,5-triazin-2-yl)amino)phenyl)-1,3,5-triazine-2,4,6-triamine

Chemical Properties

Boiling point 1116.839±75.00 °C(Press: 760.00 Torr)(predicted)
Density  1.771±0.06 g/cm3(Temp: 25 °C; Press: 760 Torr)(predicted)
pka 4.091±0.10(predicted)

N2,N4,N6-tris(4-((4,6-dichloro-1,3,5-triazin-2-yl)amino)phenyl)-1,3,5-triazine-2,4,6-triamine Supplier