Basic information Reaction Safety Related Supplier
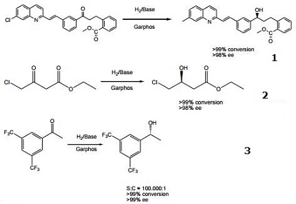
(R)-2,2'-Bis[bis(3,5-trifluoroMethylphenyl)phosphino]-4,4',6,6'-tetraMethoxybiphenyl, 97+% Structure

(R)-2,2'-Bis[bis(3,5-trifluoroMethylphenyl)phosphino]-4,4',6,6'-tetraMethoxybiphenyl, 97+%

Chemical Properties

Boiling point 722.5±60.0 °C(Predicted)
storage temp.  2-8°C, protect from light, stored under nitrogen
form  crystal
color  white
Water Solubility  Insoluble in water.
Sensitive  Air Sensitive
CAS DataBase Reference 1365531-84-5

Usage And Synthesis

(R)-2,2'-Bis[bis(3,5-trifluoroMethylphenyl)phosphino]-4,4',6,6'-tetraMethoxybiphenyl, 97+% Supplier