Basic information
Safety
Related
Supplier
my chemicalbook
En
中文
Sign in
Register
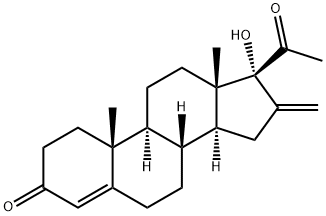
Pregn-4-ene-3,20-dione, 17-hydroxy-16-methylene- (8CI,9CI)
Product Name
Pregn-4-ene-3,20-dione, 17-hydroxy-16-methylene- (8CI,9CI)
CAS
3965-17-1
MF
C22H30O3
MW
342.47
EINECS
MOL File
3965-17-1.mol
Chemical Properties
Melting point
208-210 °C(Solv: methanol (67-56-1))
Boiling point
495.2±45.0 °C(Predicted)
Density
1.15±0.1 g/cm3(Predicted)
pka
12.28±0.60(Predicted)
Pregn-4-ene-3,20-dione, 17-hydroxy-16-methylene- (8CI,9CI) Supplier
Changsha Junyu Chemexpress.co., Ltd
Tel
+86-13723890100
Email
info@csjyyy.cn
PROMPT
×
PROMPT
The What'sApp is temporarily not supported in mainland China
Cancel
Determine
Send Inquriy
MSDS
|
CAS
|
CAS DataBase
|
Pricacy
|
Terms
|
About Us
|
New Products
|
Contact us
|
Computer Version
Chemical Book