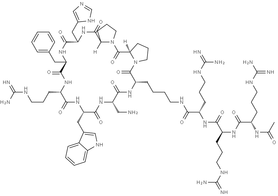
JLB2-110c
- Product NameJLB2-110c
- CAS3032608-72-0
- MFC71H108N28O12
- MW1545.8
- EINECS
- MOL File3032608-72-0.mol
Chemical Properties
| Density | 1.53±0.1 g/cm3(Temp: 20 °C; Press: 760 Torr)(predicted) |
| pka | 12.79±0.70(predicted) |
| Sequence | Cyclo(Pro-His-{d-Phe}-Arg-Trp-{Dap}-{Lys(Ac-Arg-Arg-Arg)}-{d-Pro}) |