豆甾醇
中文名称:豆甾醇
英文名称:Stigmasterol
CAS号:83-48-7
分子式:C29H48O
分子量:412.69
EINECS号:201-482-7
Mol文件:83-48-7.mol
豆甾醇 性质
| 熔点 | 165-167 °C (lit.) |
|---|---|
| 沸点 | 472.07°C (rough estimate) |
| 比旋光度 | -50 º (c=2, CHCl3) |
| 密度 | 0.9639 (rough estimate) |
| 折射率 | 1.5000 (estimate) |
| 储存条件 | -20°C |
| 溶解度 | 在氯仿的溶解度为50mg/ml |
| 形态 | 粉末 |
| 酸度系数(pKa) | 15.03±0.70(Predicted) |
| 颜色 | 白色 |
| 水溶解性 | insoluble |
| 最大波长(λmax) | 226nm(MeOH)(lit.) |
| Merck | 14,8815 |
| BRN | 2568182 |
| InChIKey | HCXVJBMSMIARIN-PHZDYDNGSA-N |
| SMILES | [H][C@@]12[C@]([C@](CC[C@H](O)C3)(C)C3=CC2)([H])CC[C@@]4(C)[C@@]1([H])CC[C@]4([H])[C@]([H])(C)/C=C/[C@@H](CC)C(C)C |
| LogP | 10.072 (est) |
| CAS 数据库 | 83-48-7(CAS DataBase Reference) |
| NIST化学物质信息 | Stigmasterol(83-48-7) |
| EPA化学物质信息 | Stigmasterol (83-48-7) |
豆甾醇 用途与合成方法
豆甾醇属于一种天然植物甾醇。天然植物甾醇在结构上与动物甾醇如胆甾醇相似,是植物中的一种活性成份,存在于各种植物油中,广泛地运用于医药、食品、化妆品等行业。
豆甾醇是一种植物甾醇,为大豆油中的主要甾醇之一。在汉防己、黄柏、毒扁豆及马铃薯等中也含有豆甾醇,也存在于海洋浮游植物、海水和海洋沉积物。 熔点:170℃ (通常165~167℃)。纯度90%时熔点164~167℃。旋光度:<=-30゜;-51℃(c=2,氯仿)。
沸点:490.4°C at 760 mmHg。
性状:易溶于 、氯仿、苯、醋酸乙酯、吡啶,能溶于乙醇、丙酮。不溶于水。

图1为豆甾醇结构式。 目前, 国内外对从混合植物甾醇中提取豆甾醇的方法主要有:溶剂法和溶剂结晶法。
直接利用混合植物甾醇中各组分的溶解度差异,选择合适的有机溶剂进行多步萃取、重结晶分离;利用有机酸与混合植物甾醇中所含的醇羟基发生酯化反应生成相应植物甾醇衍生物,使物理性质差异增加,然后采用重结晶等方法进行分离; 利用甾醇环和支链上的双键发生卤素加成反应,使生成的衍生物的物理参数差异变大,再选择合适的有机溶剂进行萃取、重结晶分离。
1、溶剂法,以大豆混合植物街醇为原料, 通过调节料液比和结晶温度, 证明经过2一3级分步结晶, 就可以得到纯度>60%豆山醇。通过4一5级结晶, 纯度可达85%以上。
2、溶剂结晶法
从溶剂结晶法分离混合植物甾醇的工艺对比发现,少量水的存在不仅可大大提高甾醇收率,在某些范围内还可提高豆甾醇选择性,有助于得到高纯度豆甾醇和谷甾醇产品。
2.1 多级分步结晶法 。该方法的反应步骤如下: 第一步,在植物甾醇中加溶剂无水乙醇、正丙醇或正丁醇,升温溶解,然后缓慢降温结晶,过滤,所得的结晶物重复上述浓缩步骤0 ~ 1 次,之后进行离心分离、真空干燥; 第二步,往第一步得到的植物甾醇浓缩物中加分离溶剂,升温溶解,然后缓慢降温结晶,过滤,所得的结晶物重复上述分离步骤2 ~ 3 次。该发明通过原料的浓缩和分离精制两个分开的步骤,大大提高了豆甾醇的纯度和收率,对环境无污染。
2.2 极性溶剂结晶法 先用非极性溶剂将豆甾醇富集到90%,再用极性溶剂结晶得到高纯度豆甾醇。其工艺是将原料溶于甲苯中,制得25%的溶液,冷却至25℃,恒温1h,结晶,重复6 次,得到纯度92% 的豆甾醇。当豆甾醇纯度大于90% 时,用结晶方法便不能再使其得到富集,这时将所得豆甾醇在无水条件下溶解于丙酮中,比率1∶20,缓慢冷却,结晶,可将纯度提高到98%。
2.3 有机溶剂结晶法 王雅琼等以混合植物甾醇为原料,分别研究了甲苯、甲苯甲醇和甲苯丙酮3种溶剂中豆甾醇的分离结晶特性. 表明,采用甲苯( 90% ) 丙酮( 10% )为混合溶剂,经过5次结晶,豆甾醇含量>70% ,豆甾醇总收率>50% 。高瑜莹等以正丁醇为溶剂,从大豆混合植物甾醇中富集豆甾醇,料液比1:4,置于20℃~30℃恒温水浴,结晶1~2h后恒温过滤或者离心,4~5级结晶得到含量85%以上的豆甾醇。 混合植物甾醇的有效分离是实现单组分高纯度植物甾醇规模化生产过程中一个重要的研究课题,对混合植物甾醇进行分离精制,可以为甾体药物的生产提供较为廉价。常见的提取分离方法有以下途径:
1 以乙酸乙酯为提取剂,以大豆油为原料,采用超声波辅助提取大豆油中的豆甾醇,在单因素实验的基础上,通过正交试验L9(34)对提取工艺进行了优化,结果表明,超声辅助提取大豆油中豆甾醇最佳工艺条件为:超声温度50℃、超声时间40min 和液料比19mL/g。在此最优条件下,豆甾醇的提取率最高,可达到34.15% 。
2.由于结构上的极度相似, 从植物甾醇中分离除去β-谷甾醇、菜籽甾醇和菜油甾醇, 得到纯度较高的单体豆甾醇是一件比较困难而又繁琐的工作。在1906年,Windaus和Hauth就提出用溴化乙酰化物的化学反应来实现豆甾醇的富集。豆甾醇在醋酸酐中回流,生成豆甾醇醋酸酯。然后再在二氯丙烯中用过量溴溴化,生成5,6,22,23 - 四溴化豆甾醇醋酸酯和5,6-二溴化β-谷甾醇醋酸酯,这两种物质为微溶或较易溶解。豆甾醇乙酰四溴化物可在乙醇中结晶析出,用锌粉处理后再进行皂化反应,即脱溴和脱乙酰化处理,使豆甾醇再生。最后可在丙酮中结晶得到纯的豆甾醇,从而达到分离目的。
参考文献
(1)溶剂结晶法分离精制豆甾醇工艺对比 贵州化工 2012.06(3)26-29
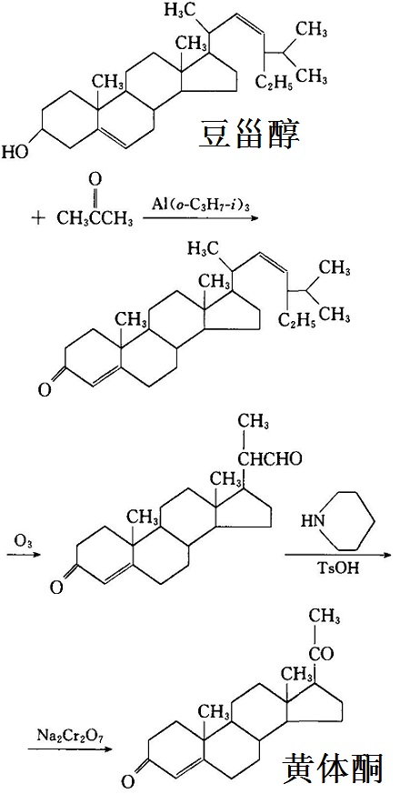
(2)从混合植物甾醇中提取豆甾醇的研究进展 云南化工 2008.10(5)66-69 豆甾醇主要用作合成甾体激素原料,也可用作维生素D3的生产原料。用于生化研究,制黄体酮,也是医药上制造孕酮的原料。制黄体酮的化学流程如下所示。

图2为豆甾醇制备黄体酮的化学反应路线图。
化学性质
来源于豆科植物大豆 Glycine max(L.)Merr.种子 用途
用作甾体激素合成原料,也可用作维生素D3的生产原料 用途
一种植物甾醇,其化学结构与胆固醇相似。它具有抗癌、抗热、抗炎和免疫调节作用。 安全信息
| 危险品标志 | Xn,Xi |
|---|---|
| 危险类别码 | 22-38-40-48/20/22-36/37/38-67-36/38-20-63 |
| 安全说明 | 22-24/25-36/37-36-26 |
| 危险品运输编号 | UN 1888 6.1/PG 3 |
| WGK Germany | 3 |
| RTECS号 | WJ2447500 |
| 海关编码 | 29309070 |
| 存储类别 | 11 - 可燃固体 |
| 毒害物质数据 | 83-48-7(Hazardous Substances Data) |
豆甾醇 价格(试剂级)
| 更新日期 | 产品编号 | 产品名称 | CAS号 | 包装 | 价格 |
|---|---|---|---|---|---|
| 2026-03-03 | 13276 | 豆固醇 | 83-48-7 | 5g | 1279 |
| 2026-03-03 | S2361 | 豆甾醇 | 83-48-7 | 50mg | 786.44 |
豆甾醇供应商 更多
陕西帕尼尔生物科技有限公司
现货
联系电话:029-84385017-8007 17602929471
产品介绍:
中文名称:豆甾醇
英文名称:Stigmasterol
CAS:83-48-7
纯度:95%
包装信息:25KG/Drum/
备注:1kg
库存量:10kg
现货日期:2026/3/24 10:53:15
湖北众善奉行医药科技有限公司
黄金产品
大货
联系电话: 13397111514
产品介绍:
中文名称:豆甾醇
英文名称:Stigmasterol
CAS:83-48-7
纯度:95
包装信息:100g/;500g/;1000g/
备注:G级|Kg级|
西安康诺化工有限公司
黄金产品
联系电话:029-86107037; 15829389671
产品介绍:
中文名称:豆甾醇
英文名称:Stigmasterol
CAS:83-48-7
纯度:98%
包装信息:g\kg\ton
帕尼尔(陕西)实业有限公司
黄金产品
大货
联系电话:029-84385017-8011 15202491660
产品介绍:
中文名称:豆甾醇 95%
英文名称:Stigmasterol 95%
CAS:83-48-7
纯度:0.98
包装信息:1kg/RMB 2300
备注:25kg,5kg
湖北科玛生物科技有限公司
黄金产品
联系电话: 15549418308
产品介绍:
中文名称:豆甾醇
英文名称:Stigmasterol
CAS:83-48-7
纯度:99%
包装信息:5KG;1KG